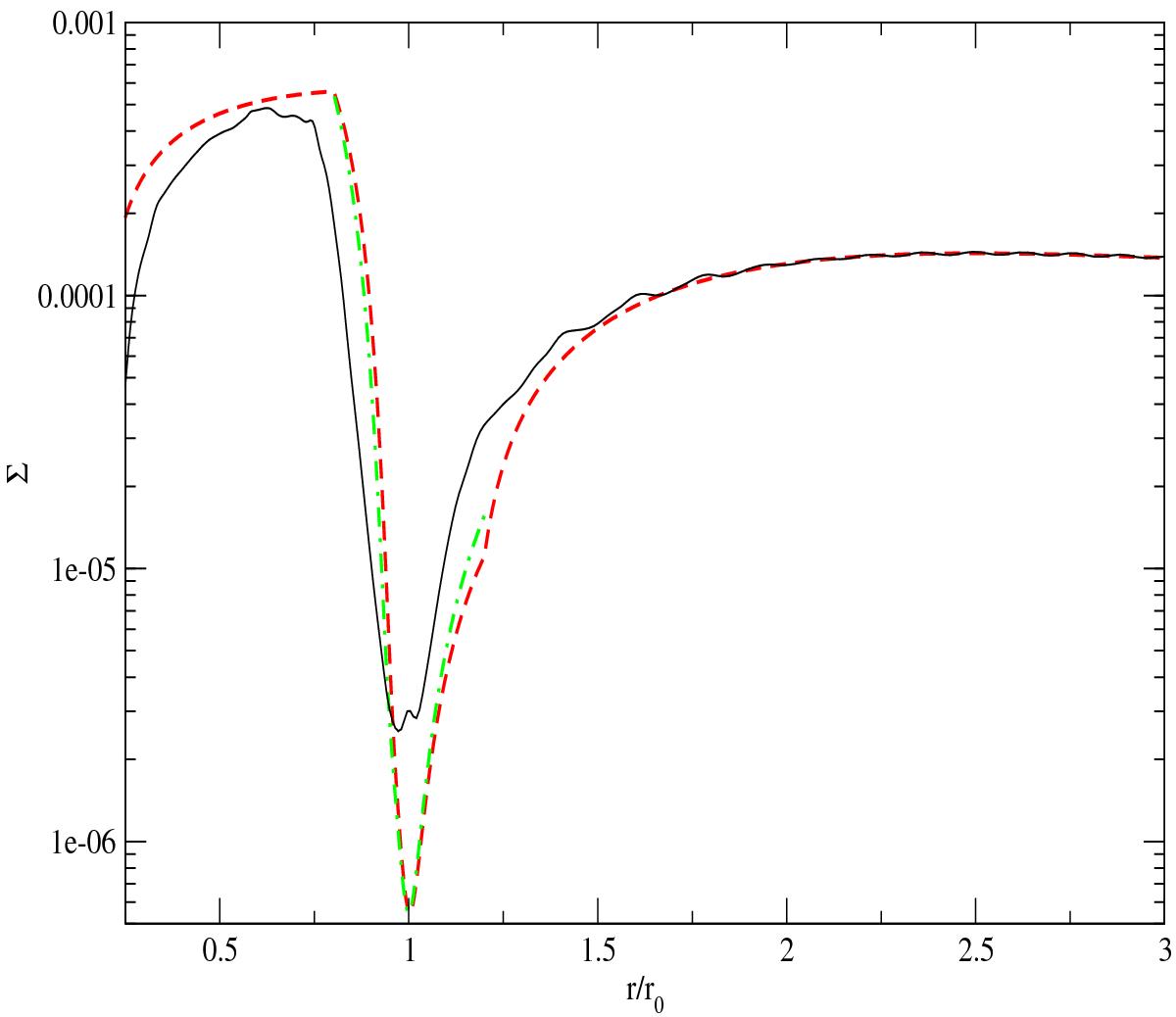
Fig. 11

Surface density Σ in units as a function of the radial coordinate, for the moment of time corresponding to t = 1500P0. The perturber was initiated in the disk at t = 0. The solid curve is obtained from a direct two-dimensional simulation and from averaging over the azimuthal coordinate. The dashed curve is obtained from a numerical solution of Eq. (34), and the dot dashed curve gives the shape of the gap according to Eq. (47) with the constants F and C− obtained from a fit to the numerical solution of (34); see the text for more details.
Current usage metrics show cumulative count of Article Views (full-text article views including HTML views, PDF and ePub downloads, according to the available data) and Abstracts Views on Vision4Press platform.
Data correspond to usage on the plateform after 2015. The current usage metrics is available 48-96 hours after online publication and is updated daily on week days.
Initial download of the metrics may take a while.