Free Access
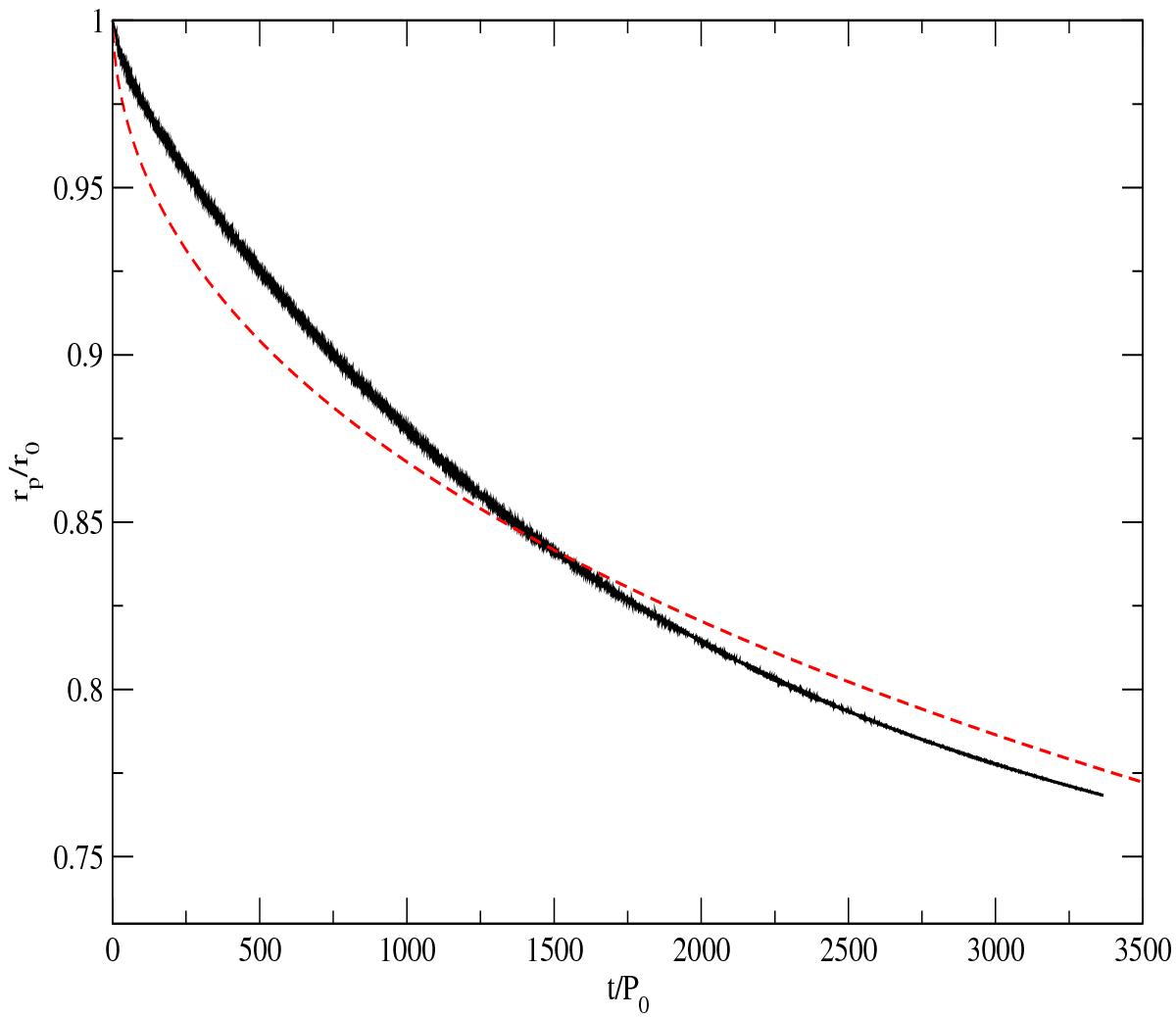
Fig. 16

Dependence of the binary separation distance on time. The solid curve shows the result of numerical simulation with the mass ratio q = 10-2 and other parameters described in the text. The dashed curve is calculated from Eq. (A.13).
Current usage metrics show cumulative count of Article Views (full-text article views including HTML views, PDF and ePub downloads, according to the available data) and Abstracts Views on Vision4Press platform.
Data correspond to usage on the plateform after 2015. The current usage metrics is available 48-96 hours after online publication and is updated daily on week days.
Initial download of the metrics may take a while.