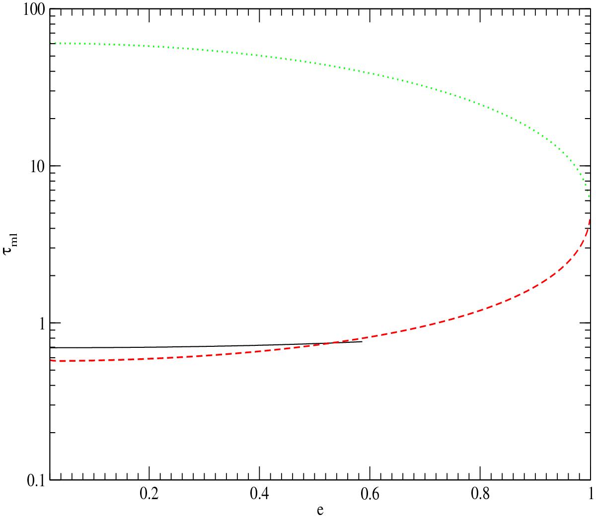
Fig. 17

Dimensionless torques τml for the cases m = 1,l = −1 (solid curve), m = 2,l = −1 (dashed curve), and m = 2,l = 1 (dotted curve) as functions of eccentricity e. The solid curve ends at e = 0.58. At this value of eccentricity, the apocentre distance rp = a(1 + e) is equal to r(1, − 1) given by Eq. (77). At larger values of e, the corresponding resonance lies within the binary orbit. Also, the case m = 2,l = 1 shown for illustration corresponds to prograde orbital motion of the binary.
Current usage metrics show cumulative count of Article Views (full-text article views including HTML views, PDF and ePub downloads, according to the available data) and Abstracts Views on Vision4Press platform.
Data correspond to usage on the plateform after 2015. The current usage metrics is available 48-96 hours after online publication and is updated daily on week days.
Initial download of the metrics may take a while.