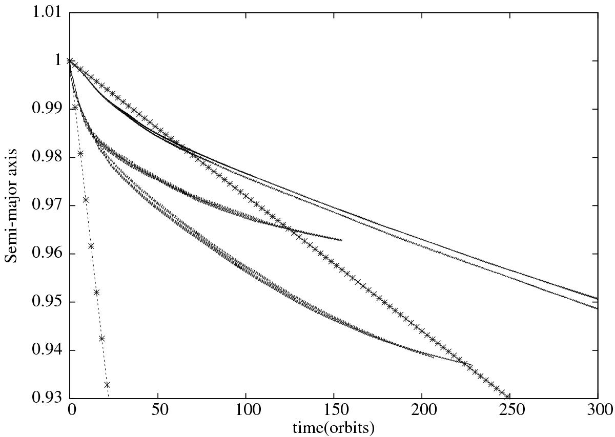
Fig. 9

Semi-major axis, in units of the initial orbital radius, as a function of time for q = 0.02 and q = 0.01 for small softening and for q = 0.01 with standard softening. Two curves without imposed crosses, which are very close together, are shown for each of these three cases. The uppermost pair of curves corresponds to q = 0.01 with standard softening and the lowermost pair for q = 0.01 with small softening. The central pair corresponds to q = 0.02 with small softening. The lower of the pair of curves for the cases with small softening corresponds to runs with accretion from the disk included (see text). For the case with standard softening, this situation is reversed. The straight lines with superimposed crosses are obtained by adopting the initial type I migration rate with contributions from all m ≤ 100 included. The line with the more widely separated crosses corresponds to q = 0.01 with small softening, while the other line corresponds to q = 0.01 with standard softening.
Current usage metrics show cumulative count of Article Views (full-text article views including HTML views, PDF and ePub downloads, according to the available data) and Abstracts Views on Vision4Press platform.
Data correspond to usage on the plateform after 2015. The current usage metrics is available 48-96 hours after online publication and is updated daily on week days.
Initial download of the metrics may take a while.