Free Access
Fig. 12

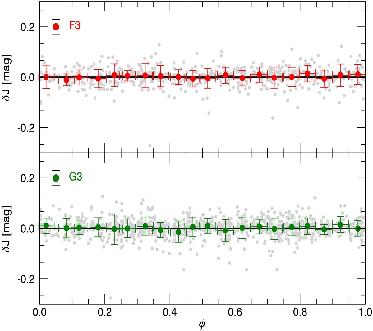
Same as Fig. 11, but for FO calibrating Cepheids. The δJ are based on the F7 (top) and the G2 (bottom) templates. The red (F3) and green (G2) dots indicate the mean for each of the 20 bins in phase and the standard deviation (error bars). The mean of the residuals is ≤ 0.01, with a mean rms of 0.04 mag.
Current usage metrics show cumulative count of Article Views (full-text article views including HTML views, PDF and ePub downloads, according to the available data) and Abstracts Views on Vision4Press platform.
Data correspond to usage on the plateform after 2015. The current usage metrics is available 48-96 hours after online publication and is updated daily on week days.
Initial download of the metrics may take a while.