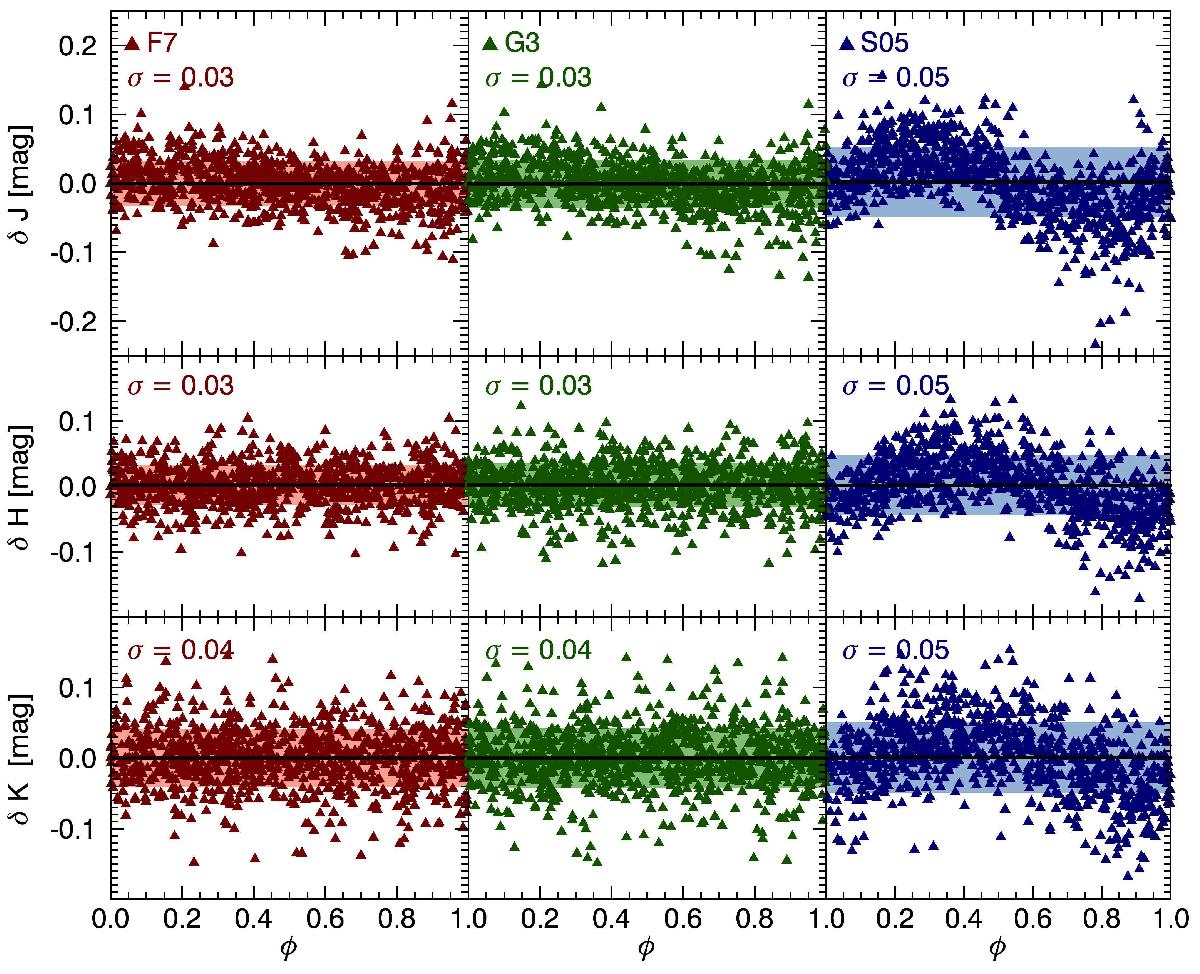
Fig. 13

Random-phase extraction test for all the period bins in the different NIR bands (from top to bottom: J, H and KS) in the SMC sample. The red triangles show the difference between the mean magnitude predicted by applying the F7 template to the single-epoch NIR observation (left panel). In the middle panel the green triangles were evaluated by applying the G3 template, while the blue triangles in the left panel are evaluated by applying the S05 template. The shadowed areas shows the 2σ of the results (F7: light red; G3: light green; S05: light blue), while the black lines indicate the zero. The residuals of F7 and G3 template show no dependence on the phase, and the dispersion is from ~20% (KS) to 40%(J) lower than the residuals of the S05 template.
Current usage metrics show cumulative count of Article Views (full-text article views including HTML views, PDF and ePub downloads, according to the available data) and Abstracts Views on Vision4Press platform.
Data correspond to usage on the plateform after 2015. The current usage metrics is available 48-96 hours after online publication and is updated daily on week days.
Initial download of the metrics may take a while.