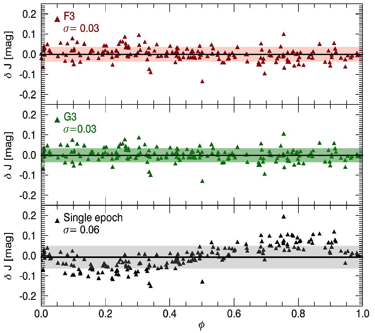
Fig. 15

Random-phase extraction for FO calibrating Cepheids in the J-band. The red triangles show the differences between the mean magnitude based on the F3 template and on single-epoch NIR observations (top panel). The middle panel shows the residuals (green triangles) based on the G2 template, while the bottom panel shows the residuals (black triangles) of the single-epoch measurements. The shadowed areas shows the 2σ of the results (F7: light red; G2: light green; single-epoch: light gray), while the black lines display the mean.
Current usage metrics show cumulative count of Article Views (full-text article views including HTML views, PDF and ePub downloads, according to the available data) and Abstracts Views on Vision4Press platform.
Data correspond to usage on the plateform after 2015. The current usage metrics is available 48-96 hours after online publication and is updated daily on week days.
Initial download of the metrics may take a while.