Free Access
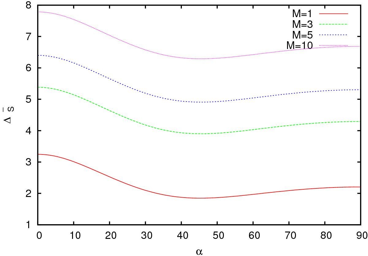
Fig. 4

Normalized entropy gain as a function of the magnetic field tilt angle α and the Mach number M for a shock where electron overshooting is taken into account. The compression ratio is s = 3.
Current usage metrics show cumulative count of Article Views (full-text article views including HTML views, PDF and ePub downloads, according to the available data) and Abstracts Views on Vision4Press platform.
Data correspond to usage on the plateform after 2015. The current usage metrics is available 48-96 hours after online publication and is updated daily on week days.
Initial download of the metrics may take a while.