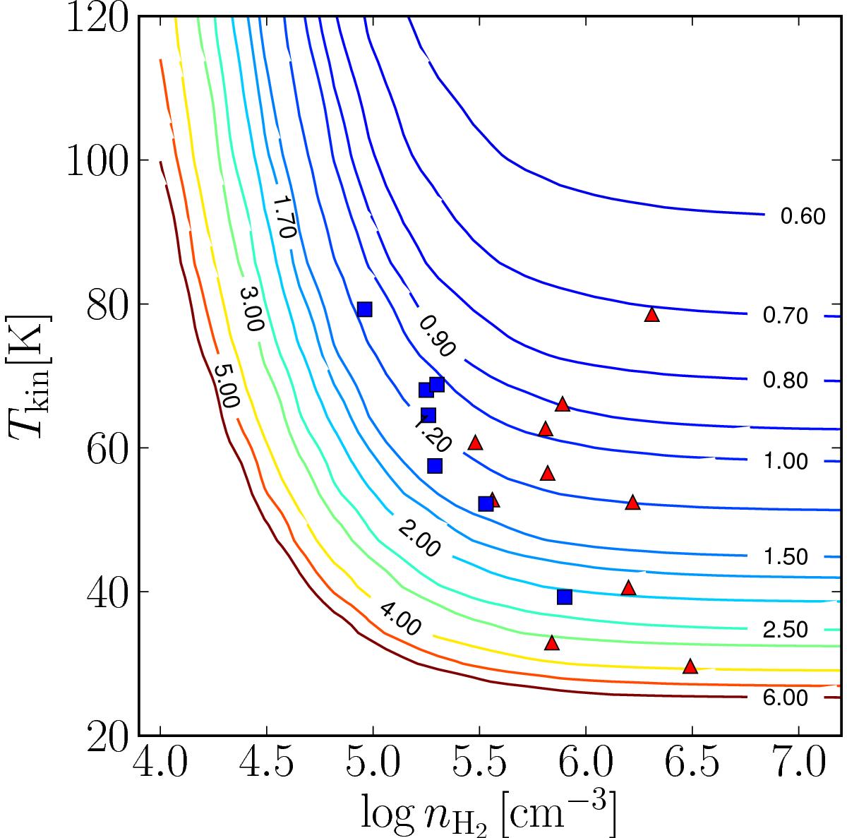
Fig. A.7

13CO 3−2/6−5 intensity ratio as a function of density and gas temperature calculated via RADEX for N(13CO) = 1.5 × 1014 cm-2. Red markers indicate the observed intensity ratios for the central pixels for Class 0 sources whereas blue markers are for Class I sources. Both pixels are taken to be 15″ diameter. The corresponding densities are the values at the 7.5″ radius found in the power-law envelope models of Kristensen et al. (2012).
Current usage metrics show cumulative count of Article Views (full-text article views including HTML views, PDF and ePub downloads, according to the available data) and Abstracts Views on Vision4Press platform.
Data correspond to usage on the plateform after 2015. The current usage metrics is available 48-96 hours after online publication and is updated daily on week days.
Initial download of the metrics may take a while.