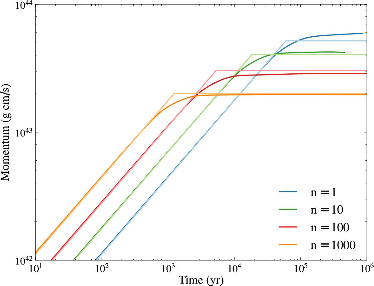
Fig. 2

Integrated radial momentum for the uniform simulations. The thin straight lines correspond to the analytical trends described in Sect. 3.1. Two main phases can be distinguished. First, during the Sedov-Taylor phase the momentum increases with time. Then, during the radiative snowplow phase the momentum is nearly constant. The dependence of the momentum on the ISM density is rather shallow.
Current usage metrics show cumulative count of Article Views (full-text article views including HTML views, PDF and ePub downloads, according to the available data) and Abstracts Views on Vision4Press platform.
Data correspond to usage on the plateform after 2015. The current usage metrics is available 48-96 hours after online publication and is updated daily on week days.
Initial download of the metrics may take a while.