Free Access
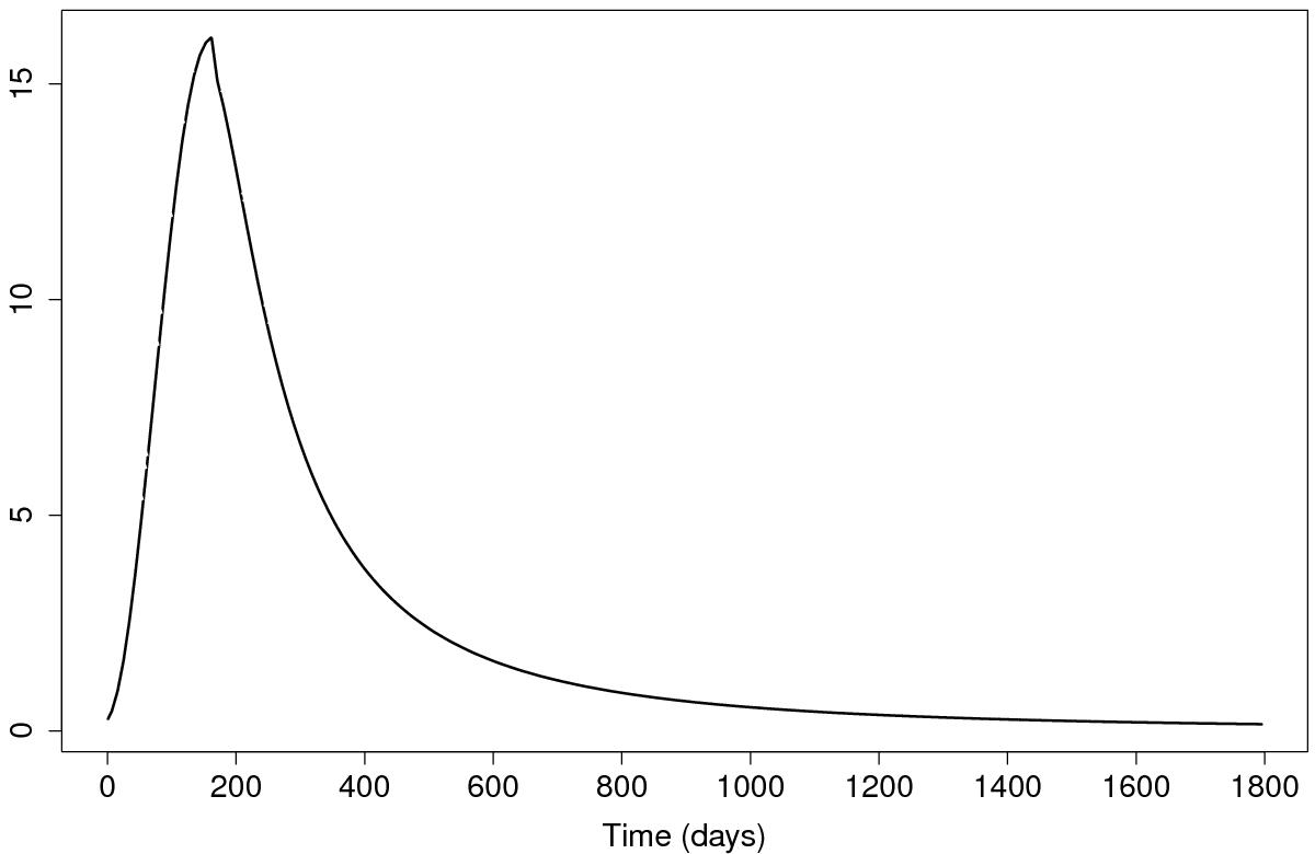
Fig. 3

Profile of the best radio response, the y axis is in arbitrary scale. The maximum is located at 160 days after the beginning of the curve. The FWHM of the curve is 197 days. See text for details.
Current usage metrics show cumulative count of Article Views (full-text article views including HTML views, PDF and ePub downloads, according to the available data) and Abstracts Views on Vision4Press platform.
Data correspond to usage on the plateform after 2015. The current usage metrics is available 48-96 hours after online publication and is updated daily on week days.
Initial download of the metrics may take a while.