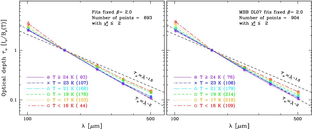
Fig. 14

Optical depth τdust normalized by τ160 μm as a function of wavelength λ. The left panel shows the data, and the right panel the DL07 best-fit models. Temperatures for the τdust calculation were obtained from MBBF fits with β = 2, and are shown binned to 2 K, with the numbers of radial points are given in parentheses. Only those MBBF fits with ≤ 2 are considered in the calculations. The dashed lines correspond to two values of β = 1.5, 2.
Current usage metrics show cumulative count of Article Views (full-text article views including HTML views, PDF and ePub downloads, according to the available data) and Abstracts Views on Vision4Press platform.
Data correspond to usage on the plateform after 2015. The current usage metrics is available 48-96 hours after online publication and is updated daily on week days.
Initial download of the metrics may take a while.