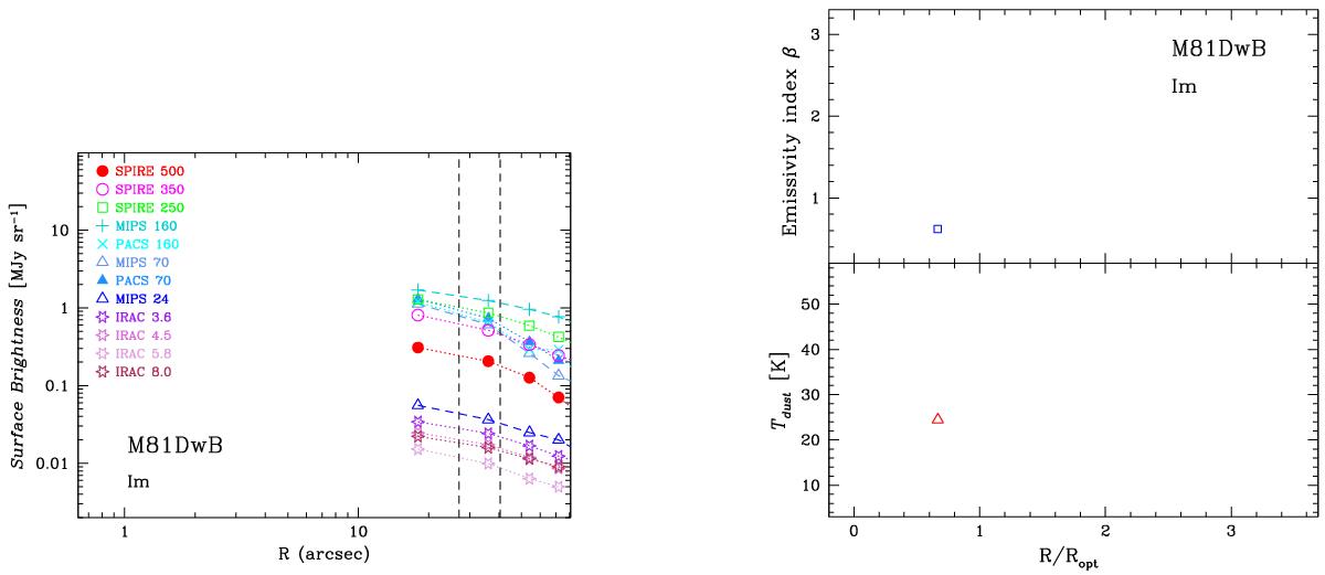
Fig. C.8

Left panel: surface brightness profiles for PACS, MIPS, SPIRE, and IRAC 3.6 μm. Profiles are extracted as in Munoz-Mateos et al. (2009); those profiles are shown by solid lines, while the profiles presented here extend beyond the symbols as dashed lines. The vertical dashed lines indicate the optical radius, Ropt and 1.5 Ropt. Right panel: radial temperature trends Tdust vs. R/Ropt. For this galaxy, there are no radial bins having data with sufficient signal-to-noise to fit.
Current usage metrics show cumulative count of Article Views (full-text article views including HTML views, PDF and ePub downloads, according to the available data) and Abstracts Views on Vision4Press platform.
Data correspond to usage on the plateform after 2015. The current usage metrics is available 48-96 hours after online publication and is updated daily on week days.
Initial download of the metrics may take a while.