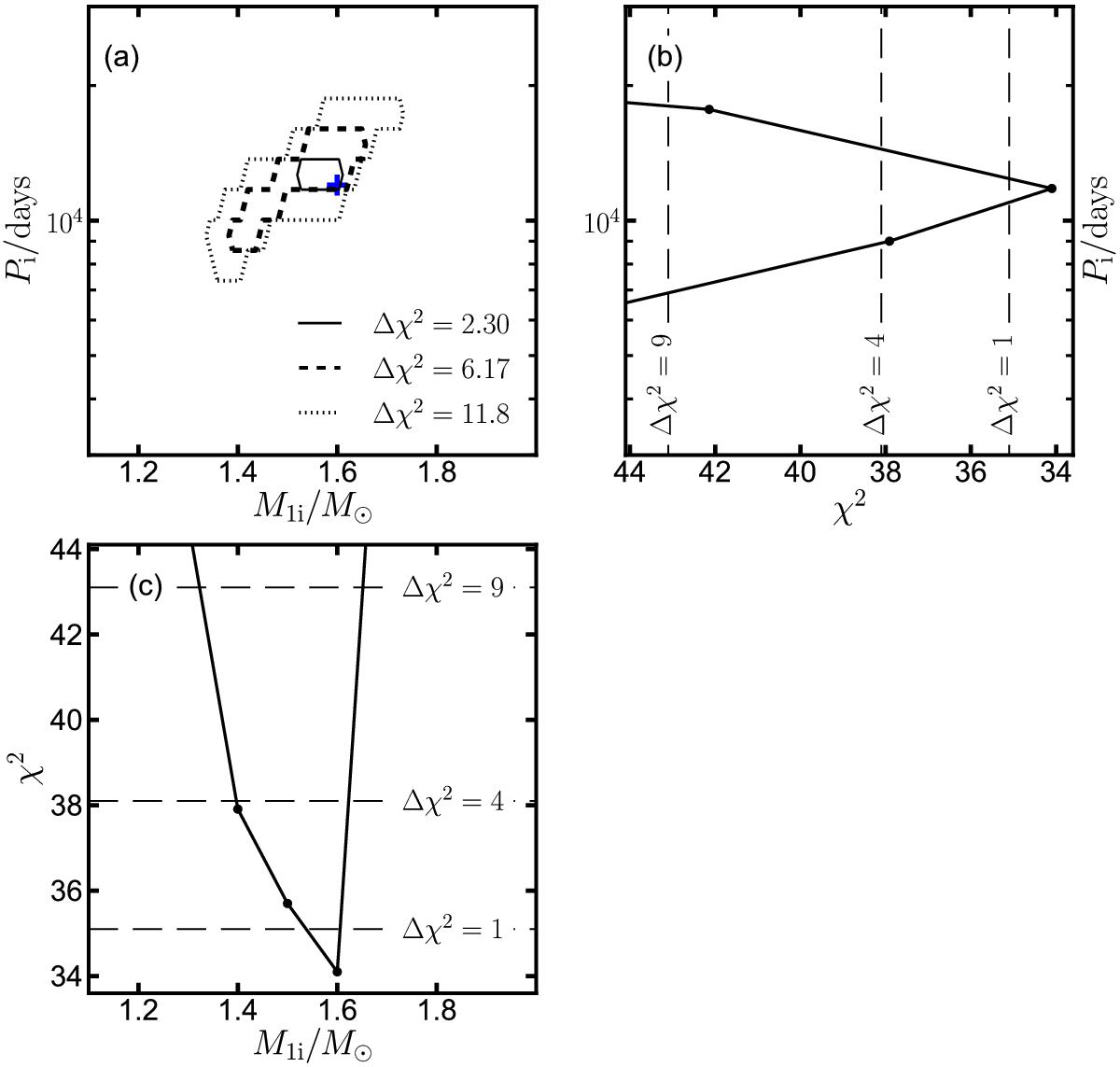
Fig. B.1

Confidence intervals of the input parameters for model star CS29497–034. Panels b) and c): one-dimensional confidence intervals of Pi and M1,i, respectively. Long-dashed lines indicate the thresholds Δχ2 = 1, 4, 9. Panel a): two-dimensional confidence intervals. The thresholds Δχ2 = 2.30, 6.17, 11.8 are represented as solid, dashed and dotted lines, respectively. The blue plus sign indicates the best model.
Current usage metrics show cumulative count of Article Views (full-text article views including HTML views, PDF and ePub downloads, according to the available data) and Abstracts Views on Vision4Press platform.
Data correspond to usage on the plateform after 2015. The current usage metrics is available 48-96 hours after online publication and is updated daily on week days.
Initial download of the metrics may take a while.