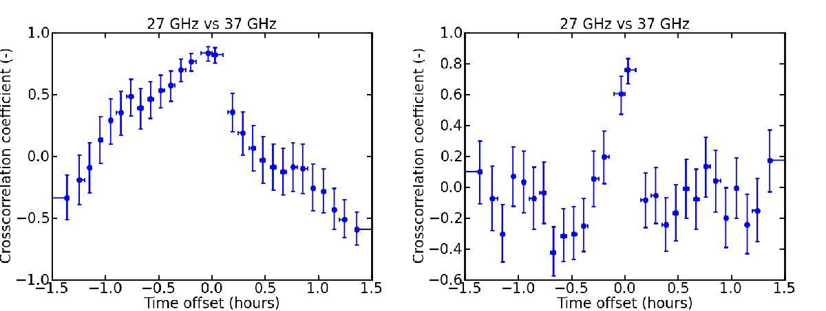
Fig. 3

Example of a cross-correlation curve for the original light-curve data (left) and for the light-curve data with the FRED trend subtracted (right). The skew in the CCF for the full light curves suggests a nonzero timelag, but the zero-lag peak is too prominent to provide any useful estimate. After the fitted FRED trend is subtracted from both light curves and the cross-correlation is performed again, the only prominent cross-correlation peak corresponds to zero time lag.
Current usage metrics show cumulative count of Article Views (full-text article views including HTML views, PDF and ePub downloads, according to the available data) and Abstracts Views on Vision4Press platform.
Data correspond to usage on the plateform after 2015. The current usage metrics is available 48-96 hours after online publication and is updated daily on week days.
Initial download of the metrics may take a while.