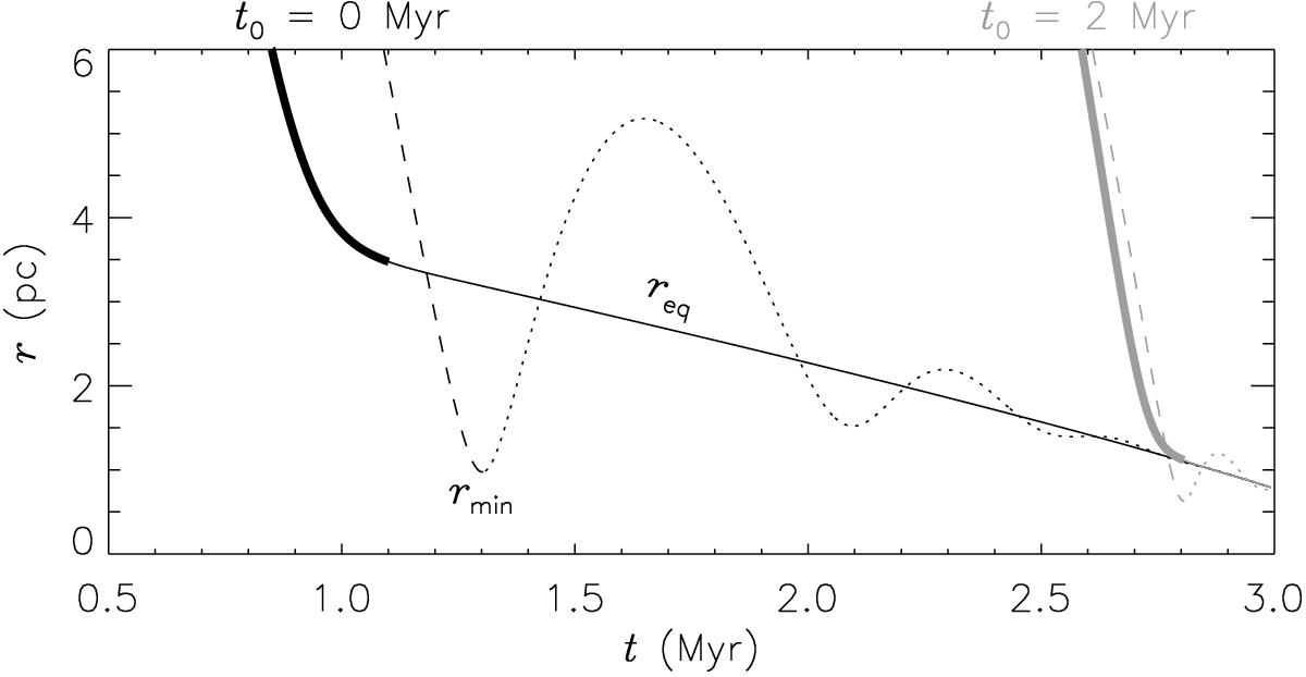
Fig. 8

Trajectories of two grains with different value of geometrical cross-section over dust mass (see text), ξ, exemplifying the difference between the equilibrium radius, req (solid line; high ξ), and the minimum radius, rmin (dashed/dotted line; low ξ) versus time t for dust approaching the star radially. Both curves assume . Black curves represent dust entering the H ii region at t0 = Myr, while gray curves correspond to the same situation at t0 = 2 Myr.
Current usage metrics show cumulative count of Article Views (full-text article views including HTML views, PDF and ePub downloads, according to the available data) and Abstracts Views on Vision4Press platform.
Data correspond to usage on the plateform after 2015. The current usage metrics is available 48-96 hours after online publication and is updated daily on week days.
Initial download of the metrics may take a while.