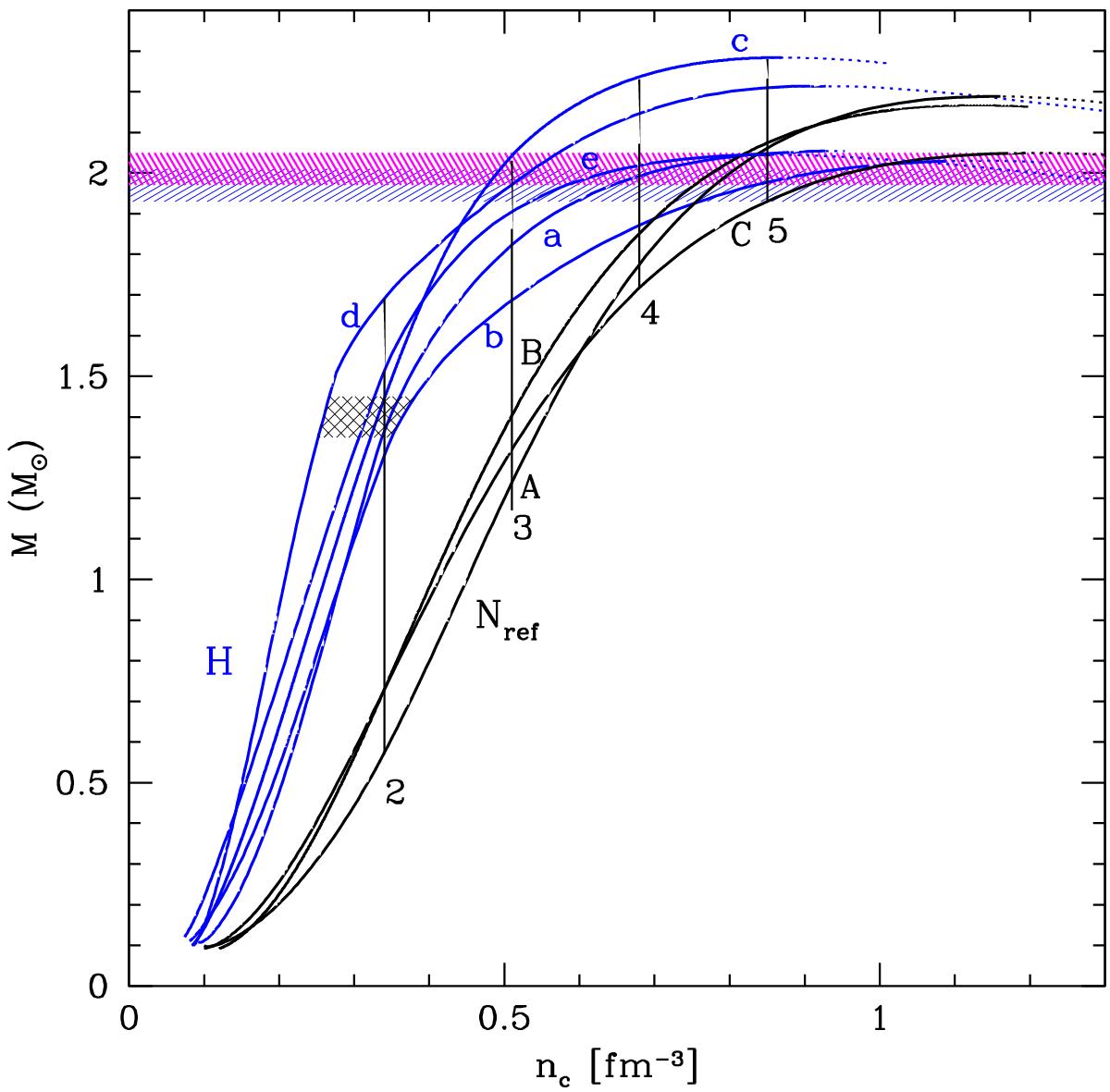
Fig. 2

Gravitational mass M vs. central baryon density nc for non-rotating NS models based on the sets EOS.H (blue lines – H) and EOS.Nref (black lines – Nref). In Nref: A is APR, B is BSk20, C is DH; in H: a is SA.BSR2, b indicates BM165, c indicates GM1Z0, d is UU1, e is G.TM1C. EOS labels from Table 1. Solid lines: stable NS configurations. Dotted lines: configurations unstable with respect to small radial perturbations. Vertical lines crossing the M(nc) curves indicate configurations with nc/n0 = 2,3,.... Hatched strip correspond to M = 1.4 ± 0.05M⊙, and the observational constraints for J1614-2230 and J0348+0432 are marked in blue and magenta, respectively (1-σ errors). (Colour online.)
Current usage metrics show cumulative count of Article Views (full-text article views including HTML views, PDF and ePub downloads, according to the available data) and Abstracts Views on Vision4Press platform.
Data correspond to usage on the plateform after 2015. The current usage metrics is available 48-96 hours after online publication and is updated daily on week days.
Initial download of the metrics may take a while.