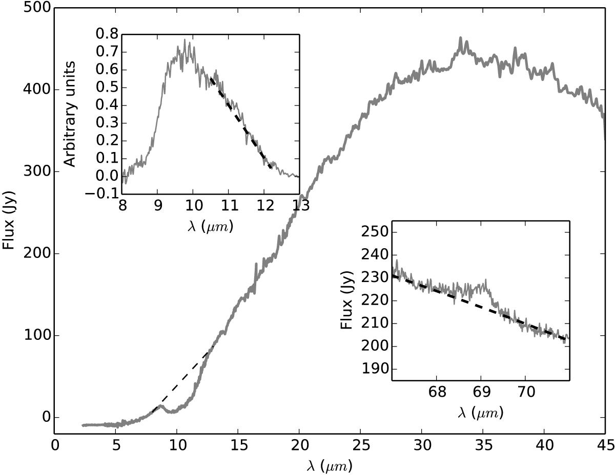
Fig. 1

Main window: ISO-SWS spectrum of IRAS 17150−3224 in grey (Sloan et al. 2003). The continuum constructed over the 9.7 μm band of amorphous olivine (as explained in Sect. 4.3) is shown as a dashed black line. Top-left inset: optical depth of the 9.7 μm absorption feature (see Sect. 4.3) in grey and in dashed black the continuum under the 11.3 μm band of forsterite. Bottom right inset: 69 μm band as observed with Herschel/PACS in grey (Blommaert et al. 2014) and the constructed continuum under the 69 μm band in dashed black.
Current usage metrics show cumulative count of Article Views (full-text article views including HTML views, PDF and ePub downloads, according to the available data) and Abstracts Views on Vision4Press platform.
Data correspond to usage on the plateform after 2015. The current usage metrics is available 48-96 hours after online publication and is updated daily on week days.
Initial download of the metrics may take a while.