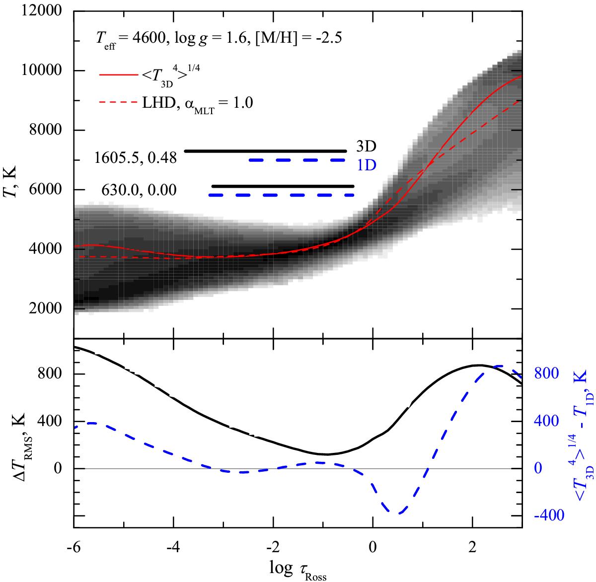
Fig. 3

Top: temperature stratifications in the 3D hydrodynamical (grey scales indicating the temperature probability density), average ⟨3D⟩ (solid red line), and 1D LHD (dashed red line) model atmospheres computed with Teff = 4600 K,log g = 1.6,[M / H] = −2.5. Horizontal bars show the optical depth intervals where 90% of the OH line (λ = 1605.5 nm,χ = 0.48 eV) and [O i] line (λ = 630.0 nm,χ = 0.00 eV) equivalent width is formed (i.e. 5% to 95%): black and dashed blue bars correspond to the line forming regions in the full 3D and 1D model atmospheres (the equivalent widths of OH and [O i] lines are 1.6 pm and 0.4 pm). Bottom: root mean square (rms) value of horizontal temperature fluctuations, ΔTrms, in the 3D model (black line) and temperature difference between the average ⟨3D⟩ and 1D models (dashed blue line).
Current usage metrics show cumulative count of Article Views (full-text article views including HTML views, PDF and ePub downloads, according to the available data) and Abstracts Views on Vision4Press platform.
Data correspond to usage on the plateform after 2015. The current usage metrics is available 48-96 hours after online publication and is updated daily on week days.
Initial download of the metrics may take a while.