Free Access
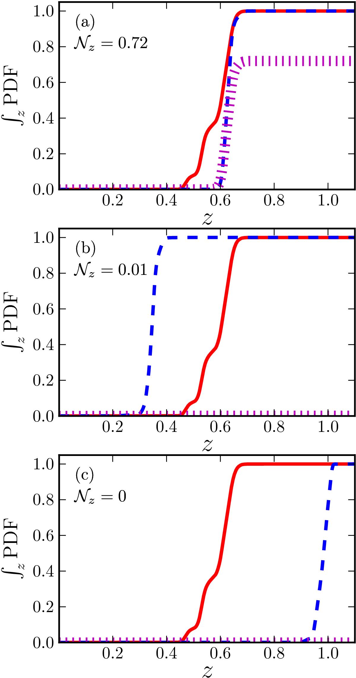
Fig. 5

Cumulative distribution function of the principal galaxy (red solid line), its projected companions (blue dashed lines), and the function of the close pairs (purple dotted lines). The letter in each panel refers to the companion galaxy in Fig. 4. The number of pairs in each system,
, is labelled in the panels.
This figure is made of several images, please see below:
Current usage metrics show cumulative count of Article Views (full-text article views including HTML views, PDF and ePub downloads, according to the available data) and Abstracts Views on Vision4Press platform.
Data correspond to usage on the plateform after 2015. The current usage metrics is available 48-96 hours after online publication and is updated daily on week days.
Initial download of the metrics may take a while.