Free Access
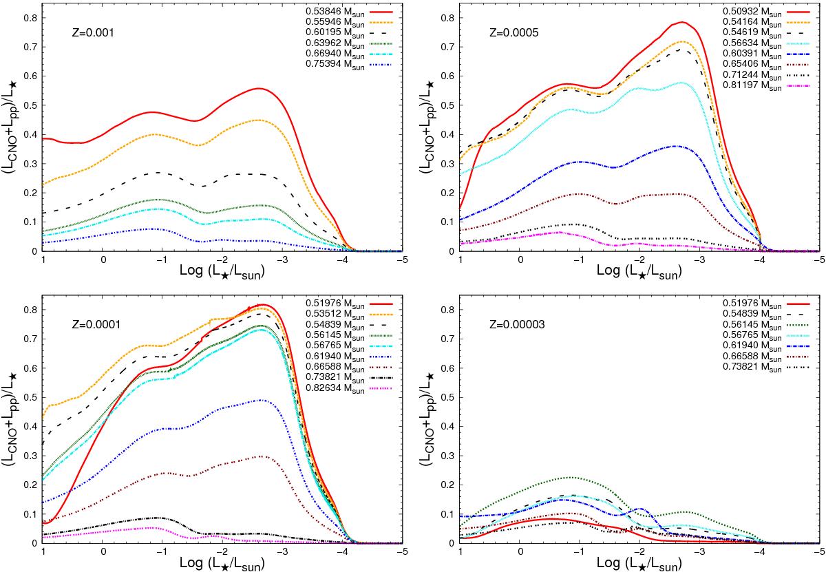
Fig. 3

Fraction of the total white dwarf luminosity due to H nuclear reactions for the four different metallicities studied in this work. For Z = 0.0001 and Z = 0.0005, residual H burning becomes the main energy source in low-mass white dwarfs, even at low luminosities.
Current usage metrics show cumulative count of Article Views (full-text article views including HTML views, PDF and ePub downloads, according to the available data) and Abstracts Views on Vision4Press platform.
Data correspond to usage on the plateform after 2015. The current usage metrics is available 48-96 hours after online publication and is updated daily on week days.
Initial download of the metrics may take a while.