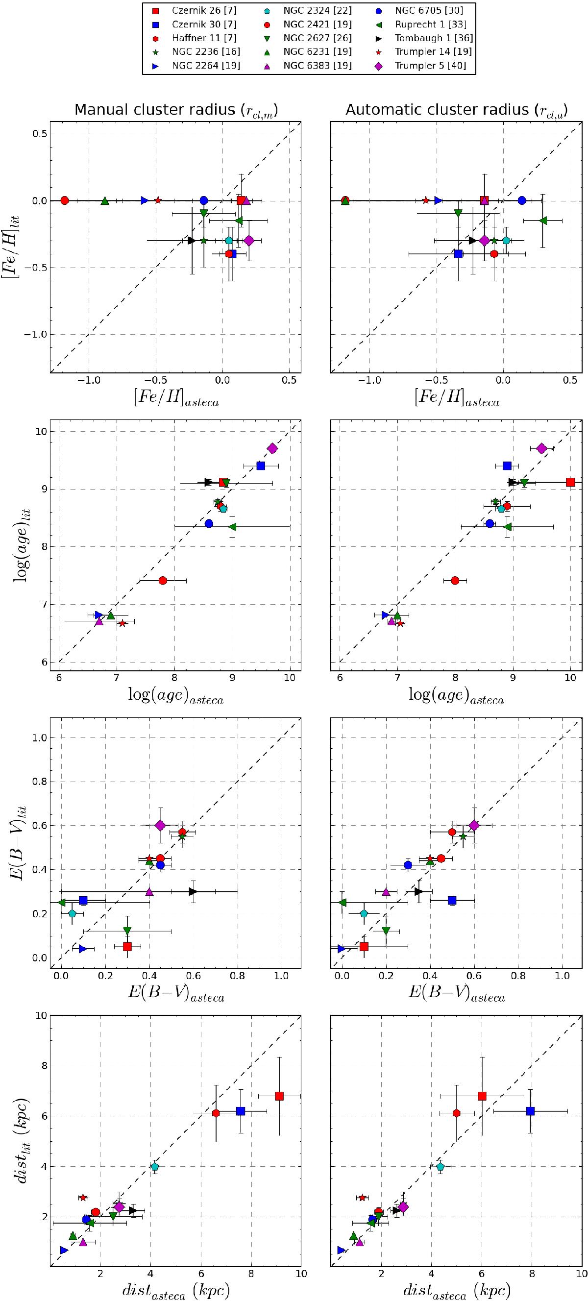
Fig. 18

Comparison of values found by ASteCA with those present in the SP set (articles using the same photometric system). Left column: parameters obtained using a manually fixed radius value for each OC vs. literature values. Right column: idem, except using radius values automatically assigned by ASteCA. Identity relation shown as a dashed black line.
Current usage metrics show cumulative count of Article Views (full-text article views including HTML views, PDF and ePub downloads, according to the available data) and Abstracts Views on Vision4Press platform.
Data correspond to usage on the plateform after 2015. The current usage metrics is available 48-96 hours after online publication and is updated daily on week days.
Initial download of the metrics may take a while.