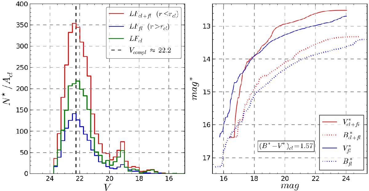
Fig. 5

Left: LF curves for the cluster region plus field star contamination (red), averaged field regions scaled to the cluster’s area (blue), and clean cluster region (green); completeness limit shown as a dashed black line. Right: integrated magnitudes versus magnitude values for the cluster region (plus field star contamination) in red and average field regions in blue.
Current usage metrics show cumulative count of Article Views (full-text article views including HTML views, PDF and ePub downloads, according to the available data) and Abstracts Views on Vision4Press platform.
Data correspond to usage on the plateform after 2015. The current usage metrics is available 48-96 hours after online publication and is updated daily on week days.
Initial download of the metrics may take a while.