Free Access

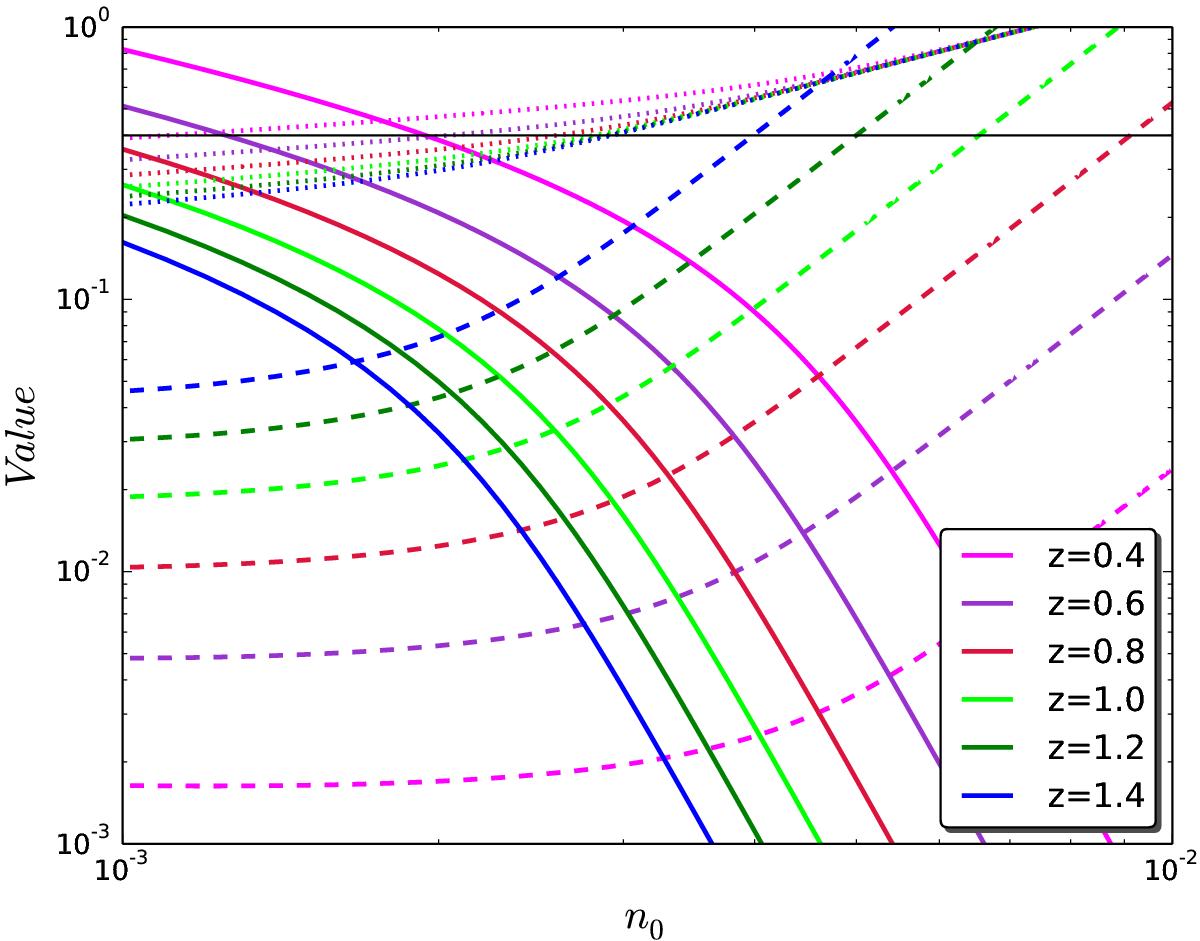
Fig. 2

image

(Ek,ϵe,ϵB) as functions of n obtained in solving Eqs. (4)–(6). The solid, dotted, and dashed lines represent ϵB, ϵe, and Ek,53, respectively. The thin black line (i.e., Value = 0.4) is the reasonable upper limit of ϵB and ϵe, above which the solution is unphysical.

Current usage metrics show cumulative count of Article Views (full-text article views including HTML views, PDF and ePub downloads, according to the available data) and Abstracts Views on Vision4Press platform.

Data correspond to usage on the plateform after 2015. The current usage metrics is available 48-96 hours after online publication and is updated daily on week days.

Initial download of the metrics may take a while.