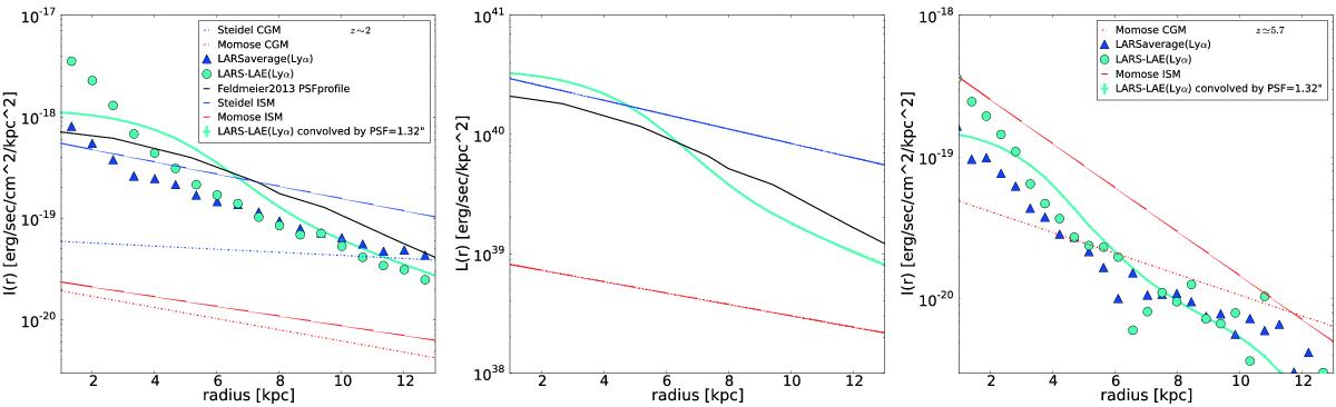
Fig. 17

Left: Lyα surface brightness, I(r), of the z ~ 2 LARS-LAE and LARSaverage stacks, before convolution with ground-based PSF (cyan circles and blue triangles). The PSF-convolved LARS-LAE stack is shown with the cyan line. The ground-based PSF profile from Feldmeier et al. (2013) is shown as a black line. The blue and red dashed-dotted lines represent the circumgalactic medium, as fit by Steidel et al. (2011) and Momose et al. (2014) at z ≃ 2.2, we extrapolated inwards. The blue and red solid lines represent the I(r) fit on scales of 10−20 kpc derived from Fig. 9 of Steidel et al. (2011) and Fig. 3 of Momose et al. (2014). Middle: luminosity per kpc2 for our PSF-convolved LARS-LAE stack in Lyα (cyan line), for the ground-based PSF profile from Feldmeier et al. (2013, black line), for the 10−20-kpc-scale fit from Steidel et al. (2011, blue line) and Momose et al. (2014, red line). Right: Lyα surface brightness of the z ≃ 5.7 LARS-LAE and LARSaverage stacks before convolving with ground-based PSF (cyan circles and blue triangles) together with that of the PSF-convolved LARS-LAE stack (cyan line). The red dashed-dotted line represents the circumgalactic medium fit by Momose et al. (2014) at z ≃ 5.7, we extended inwards. The red line shows the fit on scales of 5−15 kpc derived from Fig. 3 of Momose et al. (2014).
Current usage metrics show cumulative count of Article Views (full-text article views including HTML views, PDF and ePub downloads, according to the available data) and Abstracts Views on Vision4Press platform.
Data correspond to usage on the plateform after 2015. The current usage metrics is available 48-96 hours after online publication and is updated daily on week days.
Initial download of the metrics may take a while.