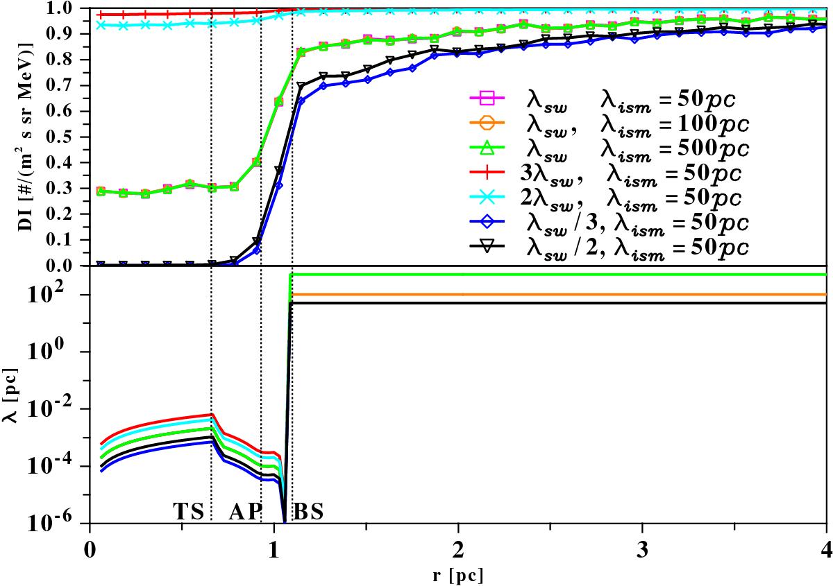
Fig. 5

Modulation of 1 GeV particles in λ Cephei along the stagnation line for different stellar and interstellar mfp. The mfp are shown in the lower panel and the colors correspond to those in the upper panel. The magenta, orange, and green curves in the upper panel are identical when normalized to their respective values at infinity. The dotted lines show the position of the TS, AP, and BS.
Current usage metrics show cumulative count of Article Views (full-text article views including HTML views, PDF and ePub downloads, according to the available data) and Abstracts Views on Vision4Press platform.
Data correspond to usage on the plateform after 2015. The current usage metrics is available 48-96 hours after online publication and is updated daily on week days.
Initial download of the metrics may take a while.