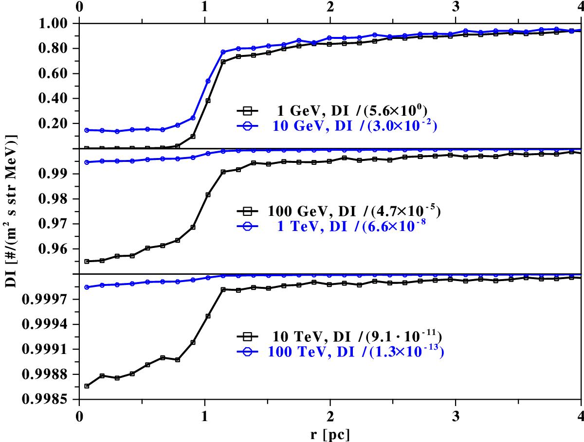
Fig. 6

Modulation of particles with different energies. Upper panel: normalized differential particle intensities in part./ (m2s sr MeV) for energies of 1 and 10 GeV are shown (in black and blue, respectively). The y axes are in a linear scale with different values for all three panels. Middle panel: DI for particles at 100 GeV and 1 TeV are displayed (black and blue). Lower panel: DIs for 10 and 100 TeV particles are shown. All DIs are normalized to their corresponding interstellar DI and are decrease towards the star.
Current usage metrics show cumulative count of Article Views (full-text article views including HTML views, PDF and ePub downloads, according to the available data) and Abstracts Views on Vision4Press platform.
Data correspond to usage on the plateform after 2015. The current usage metrics is available 48-96 hours after online publication and is updated daily on week days.
Initial download of the metrics may take a while.