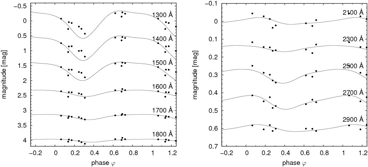
Fig. 11

Comparison of the predicted (solid line) and observed (dots) UV light variations for different wavelengths (marked in the graph). The light curves were derived from IUE spectra using a Gaussian filter with a dispersion of 25 Å (for SWP spectra) and 100 Å (LWR spectra). Curves for individual wavelengths were vertically shifted to better show the variability.
Current usage metrics show cumulative count of Article Views (full-text article views including HTML views, PDF and ePub downloads, according to the available data) and Abstracts Views on Vision4Press platform.
Data correspond to usage on the plateform after 2015. The current usage metrics is available 48-96 hours after online publication and is updated daily on week days.
Initial download of the metrics may take a while.