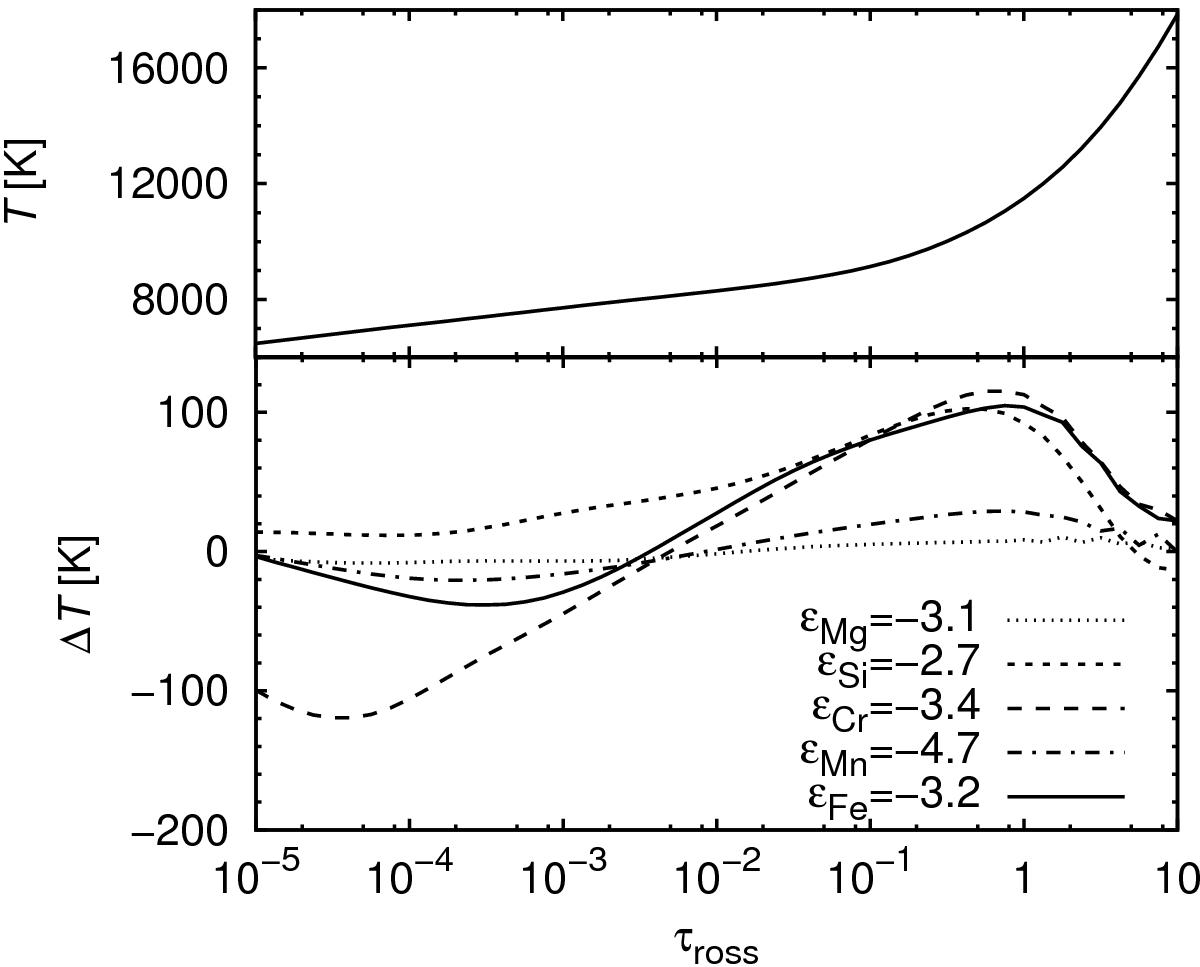
Fig. 6

Upper plot: temperature dependence on the Rosseland optical depth τross in the reference model atmosphere with εMg = −4.1, εSi = −3.7, εCr = −4.4, εMn = −5.7, and εFe = −4.2. Lower plot: difference between temperature in the model atmospheres with abundance of the selected element enhanced by a factor of 10 and the temperature in the reference model atmosphere.
Current usage metrics show cumulative count of Article Views (full-text article views including HTML views, PDF and ePub downloads, according to the available data) and Abstracts Views on Vision4Press platform.
Data correspond to usage on the plateform after 2015. The current usage metrics is available 48-96 hours after online publication and is updated daily on week days.
Initial download of the metrics may take a while.