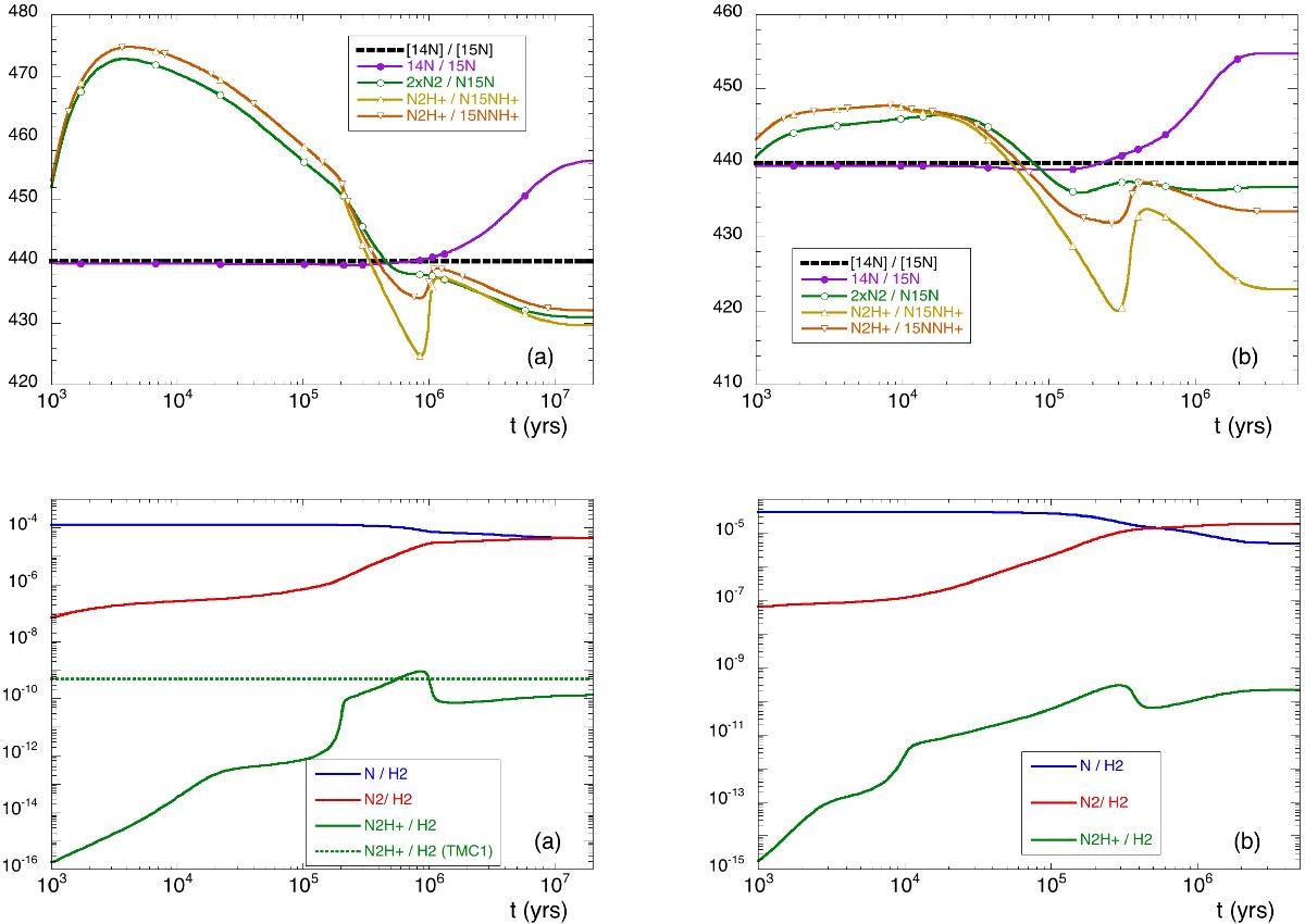
Fig. 1

Upper panel: time dependence of N/15N isotopic ratios in atomic and molecular nitrogen and N2H+ ions. a) and b) correspond to the models defined in Table 4; the black heavy dotted line represents the elemental N/15N. Lower panel: time dependence of the fractional abundances relative to H2 of N, N2, and N2H+ for models (a) and (b). The value reported for N2H+ towards TMC1 (Ohishi et al. 1992) is displayed as a horizontal green dashed line.
Current usage metrics show cumulative count of Article Views (full-text article views including HTML views, PDF and ePub downloads, according to the available data) and Abstracts Views on Vision4Press platform.
Data correspond to usage on the plateform after 2015. The current usage metrics is available 48-96 hours after online publication and is updated daily on week days.
Initial download of the metrics may take a while.