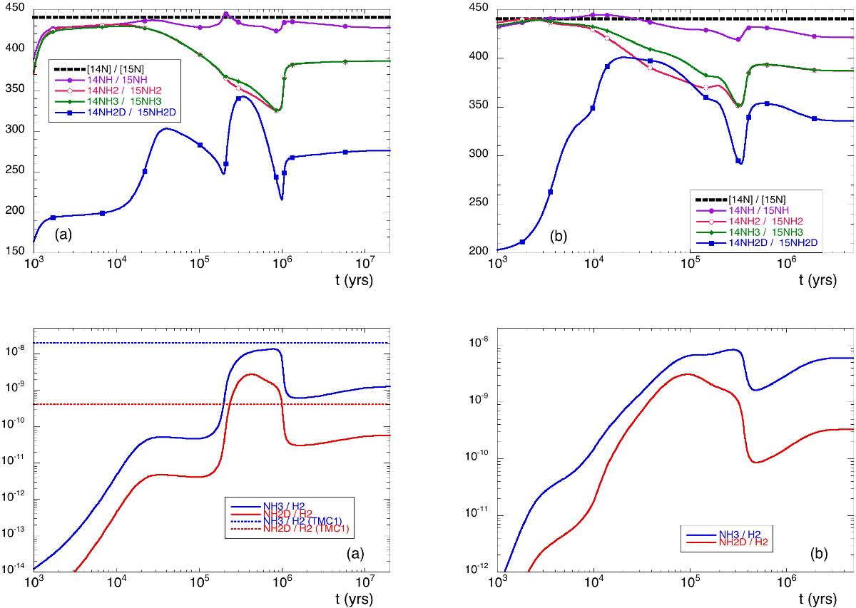
Fig. 2

Upper panel: time dependence of N/15N isotopic ratios in nitrogen hydrides. a) and b) correspond to the models defined in Table 4; The black heavy dotted line represents the elemental N/15N. Lower panel: time dependence of the fractional abundances relative to H2 of NH, NH2, NH3, and NH2D for models (a) and (b). The values reported for NH3 (Ohishi et al. 1992) and NH2D (Tiné et al. 2000) towards TMC1 are displayed as horizontal blue and red dashed lines, respectively, in the left panel.
Current usage metrics show cumulative count of Article Views (full-text article views including HTML views, PDF and ePub downloads, according to the available data) and Abstracts Views on Vision4Press platform.
Data correspond to usage on the plateform after 2015. The current usage metrics is available 48-96 hours after online publication and is updated daily on week days.
Initial download of the metrics may take a while.