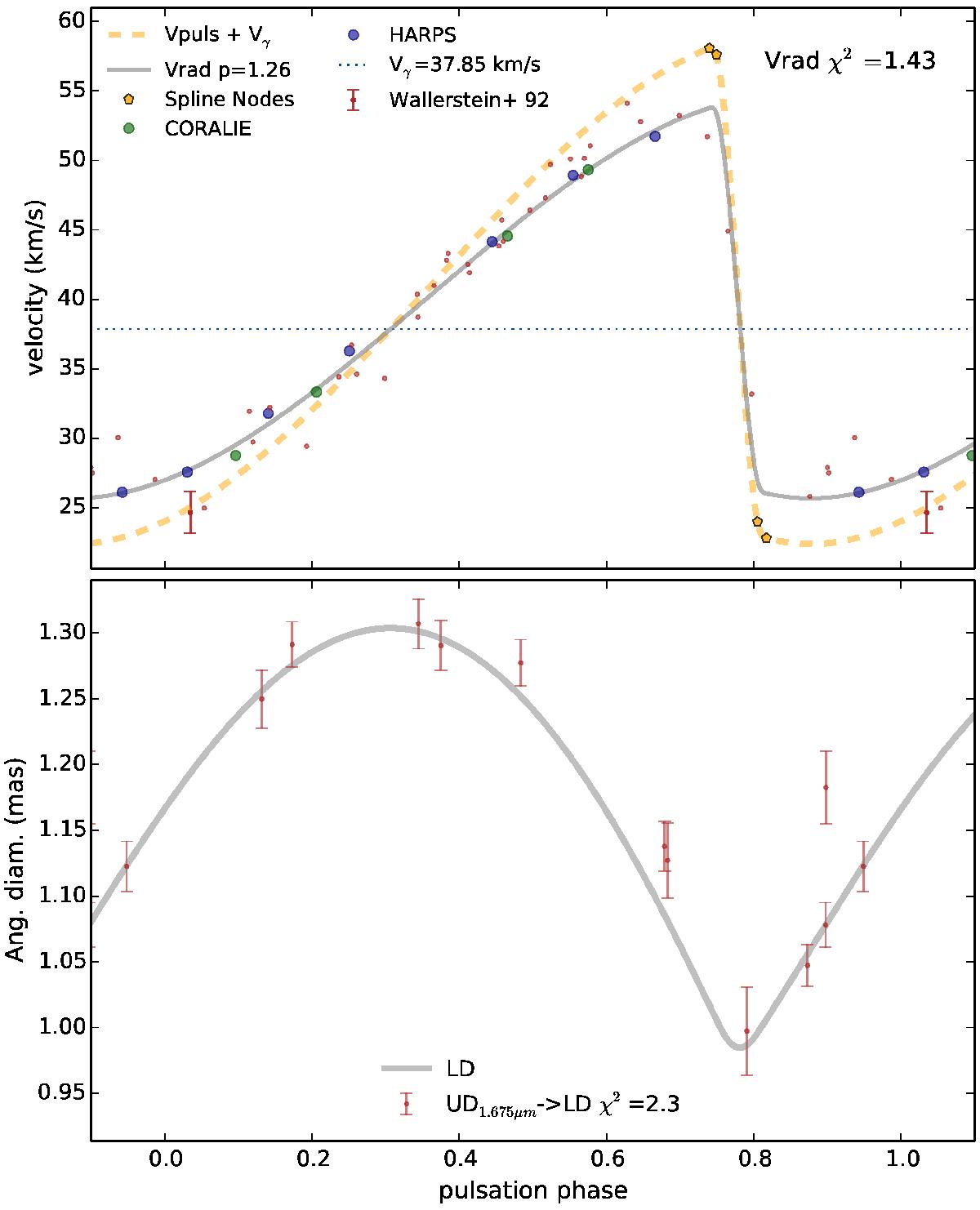
Fig. 4

SPIPS code applied on the type-II Cepheid κ Pav. Above: radial velocities from Wallerstein et al. (1992) (the typical error bar is shown in the bottom left corner) and new measurement from CORALIE and HARPS (the size of the points corresponds to the errorbar), fitted using spline functions. Below: uniform disk angular diameters deduced from our PIONIER interferometric observations. For each panel we indicate the reference and the individual reduced χ2.
Current usage metrics show cumulative count of Article Views (full-text article views including HTML views, PDF and ePub downloads, according to the available data) and Abstracts Views on Vision4Press platform.
Data correspond to usage on the plateform after 2015. The current usage metrics is available 48-96 hours after online publication and is updated daily on week days.
Initial download of the metrics may take a while.