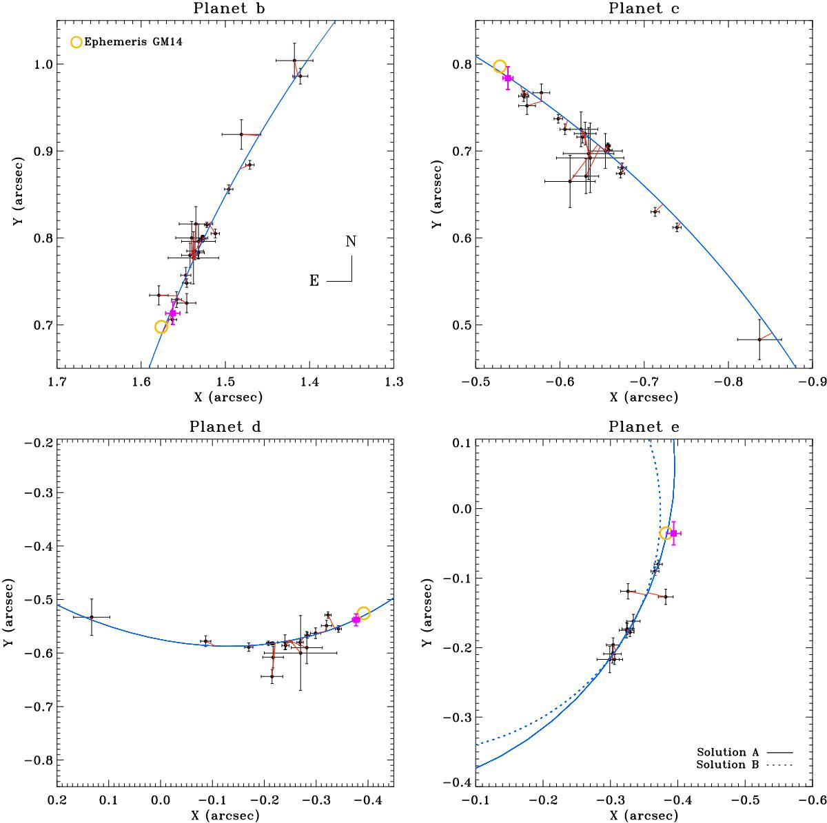
Fig. 3

Relative astrometry of the HR 8799 planets for all the measurements available in the literature (small filled circles) and the measurements derived in this work (purple filled squares). The solid blue lines represent the orbital solution labeled “A” in Table 5. Red lines connect the predicted and observed positions for all the data points. The dotted line in the panel for HR 8799 e indicates the orbital solution labeled “B” in Table 5. The orange circles indicate the ephemeris predicted in Goździewski & Migaszewski (2014).
Current usage metrics show cumulative count of Article Views (full-text article views including HTML views, PDF and ePub downloads, according to the available data) and Abstracts Views on Vision4Press platform.
Data correspond to usage on the plateform after 2015. The current usage metrics is available 48-96 hours after online publication and is updated daily on week days.
Initial download of the metrics may take a while.