Highlight
Free Access

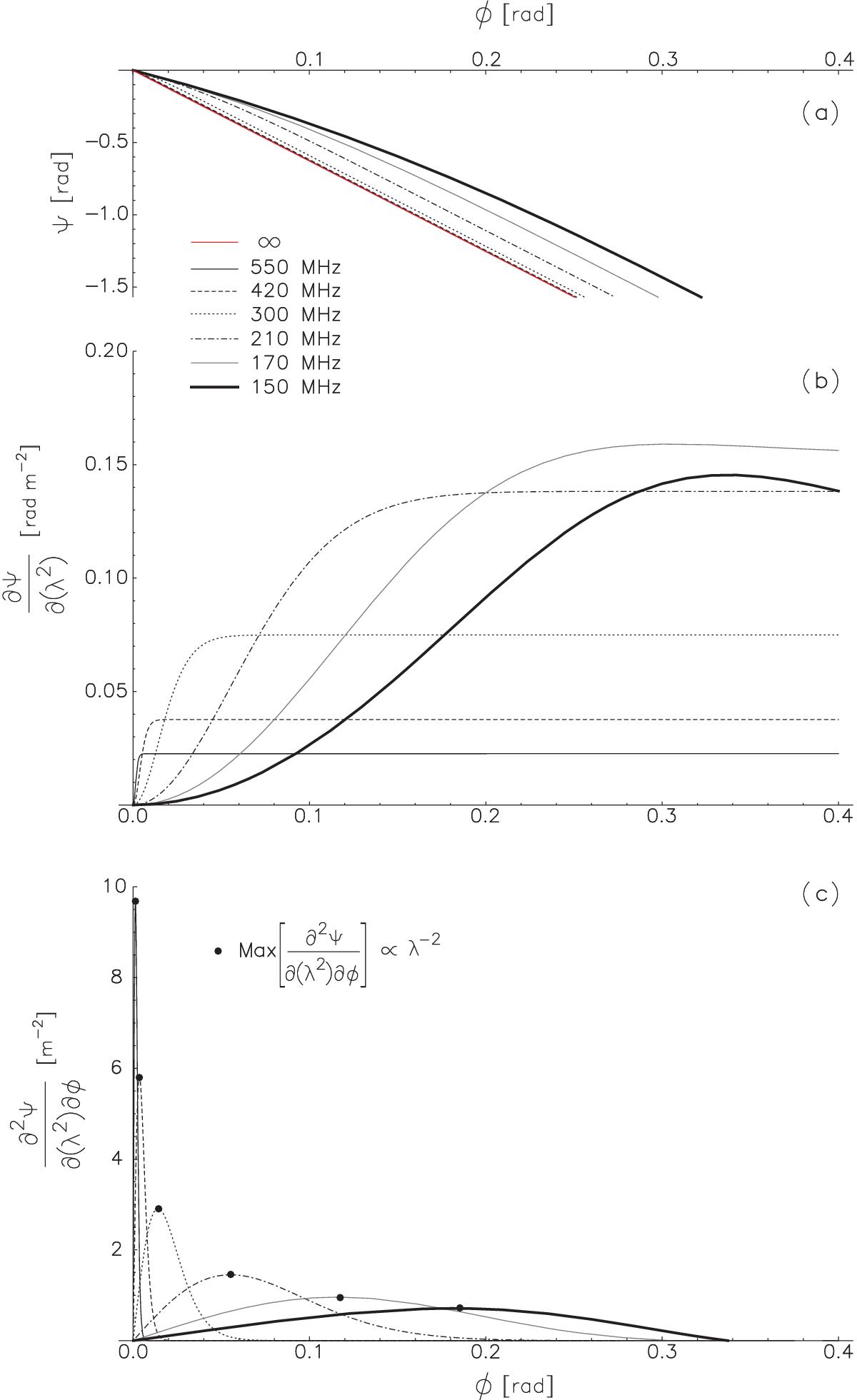
Fig. A.2

image

a) PA profile at different frequencies, after convolution of the Stokes parameters with a one-sided exponential function, f(φ) = eφ/ (kλ4), where k = 0.006 rad m-2. b) Gradient of Ψ(λ) at λ2, as a function of pulse phase, for different frequencies. c) Gradient of Ψ(λ) /(λ2) at pulse phase, φ, as a function of pulse phase.

Current usage metrics show cumulative count of Article Views (full-text article views including HTML views, PDF and ePub downloads, according to the available data) and Abstracts Views on Vision4Press platform.

Data correspond to usage on the plateform after 2015. The current usage metrics is available 48-96 hours after online publication and is updated daily on week days.

Initial download of the metrics may take a while.