Free Access
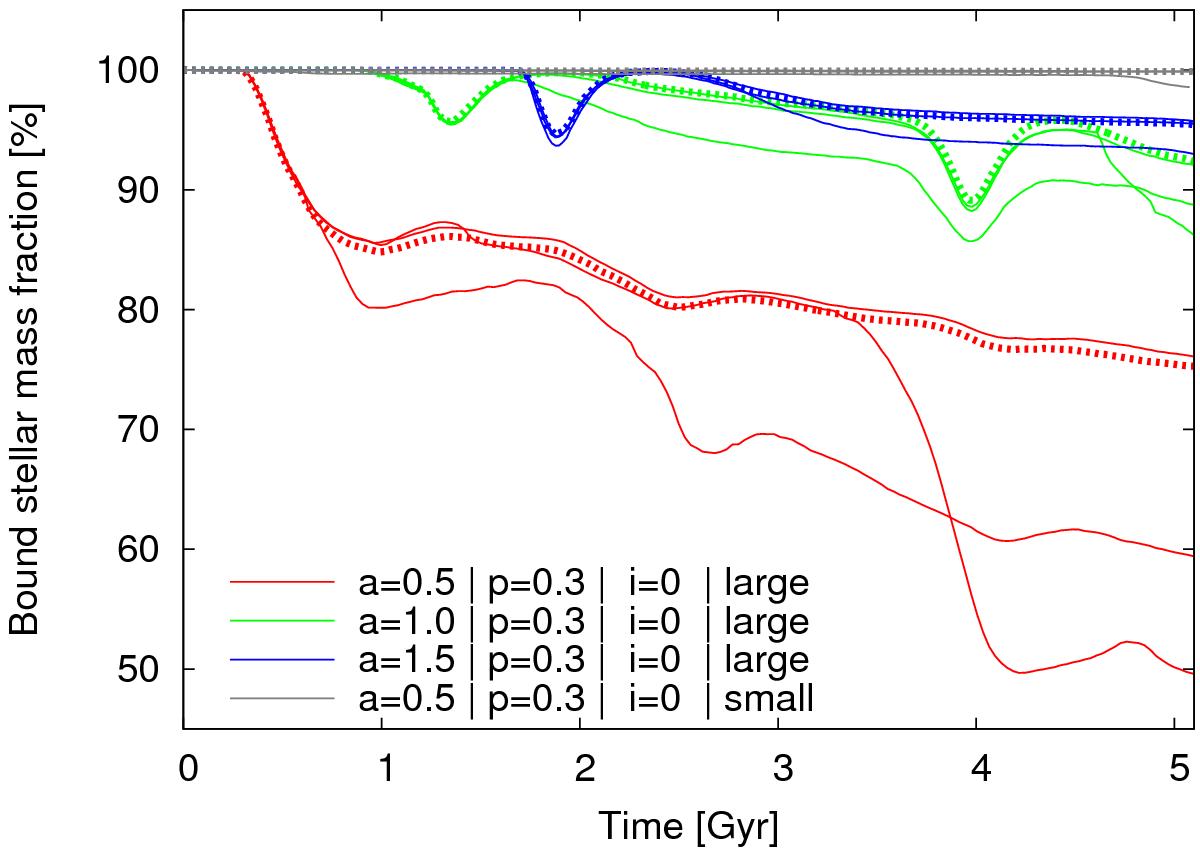
Fig. 2

Time evolution of the bound stellar mass fraction in simulations with different orbital parameters of the large galaxy model (coloured) and with the small model (grey). The dotted lines represent simulations without encounters with other cluster members.
Current usage metrics show cumulative count of Article Views (full-text article views including HTML views, PDF and ePub downloads, according to the available data) and Abstracts Views on Vision4Press platform.
Data correspond to usage on the plateform after 2015. The current usage metrics is available 48-96 hours after online publication and is updated daily on week days.
Initial download of the metrics may take a while.