Fig. 3

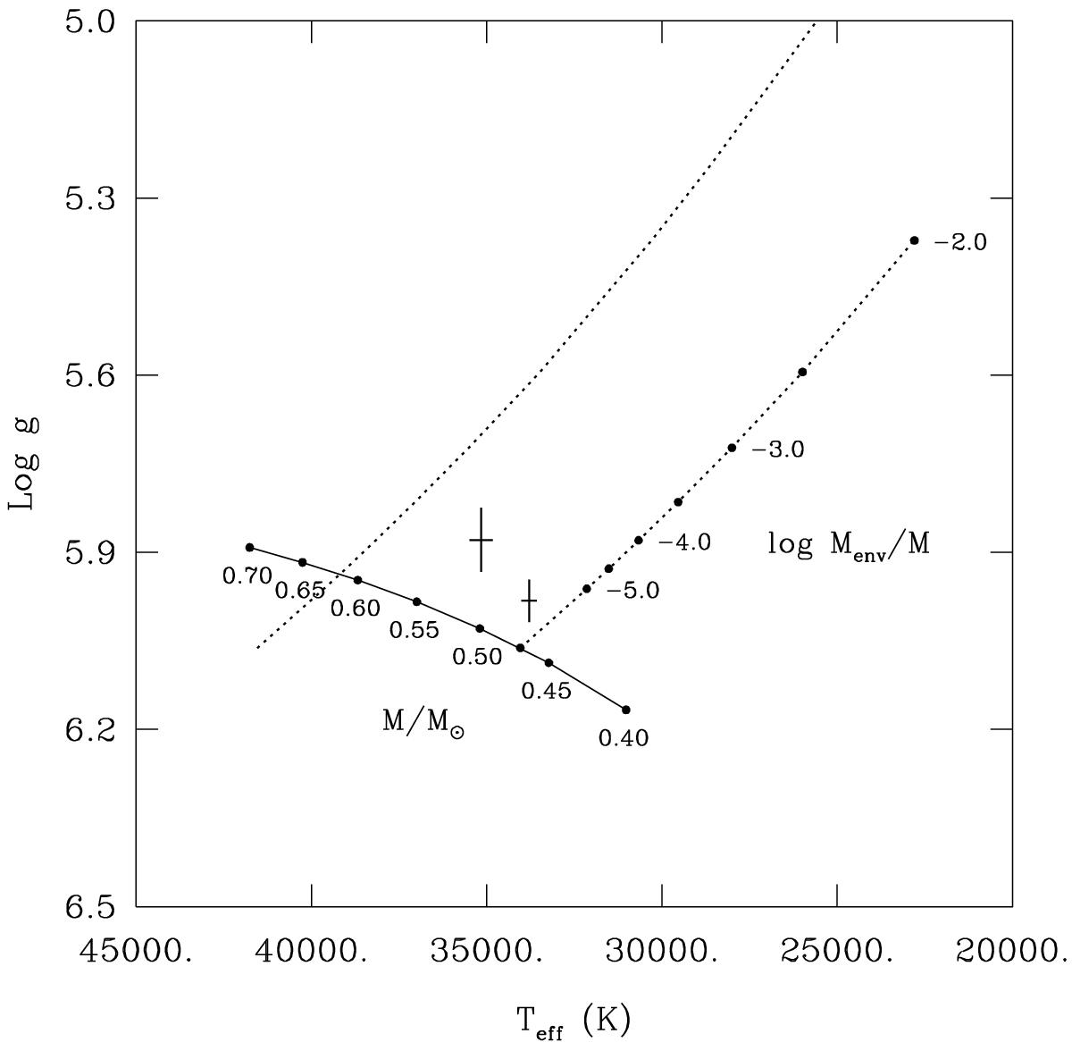
Location of the helium main sequence (solid line) in the log g − Teff diagram for different stellar masses as indicated. The zero-age EHB (right-hand dotted line) and the terminal-age EHB (left-hand dotted line) are shown for different hydrogen envelope masses based on the Montréal third-generation evolutionary models. Superimposed on this is the location of LS IV-14°116 derived from the FORS2 (left) and UVES (right) spectra. Both estimates place LS IV-14°116 firmly on the EHB; a star that has not yet settled on the EHB would be found at similar temperatures but significantly lower surface gravities (cf. Fig. 1, Miller Bertolami et al. 2011).
Current usage metrics show cumulative count of Article Views (full-text article views including HTML views, PDF and ePub downloads, according to the available data) and Abstracts Views on Vision4Press platform.
Data correspond to usage on the plateform after 2015. The current usage metrics is available 48-96 hours after online publication and is updated daily on week days.
Initial download of the metrics may take a while.