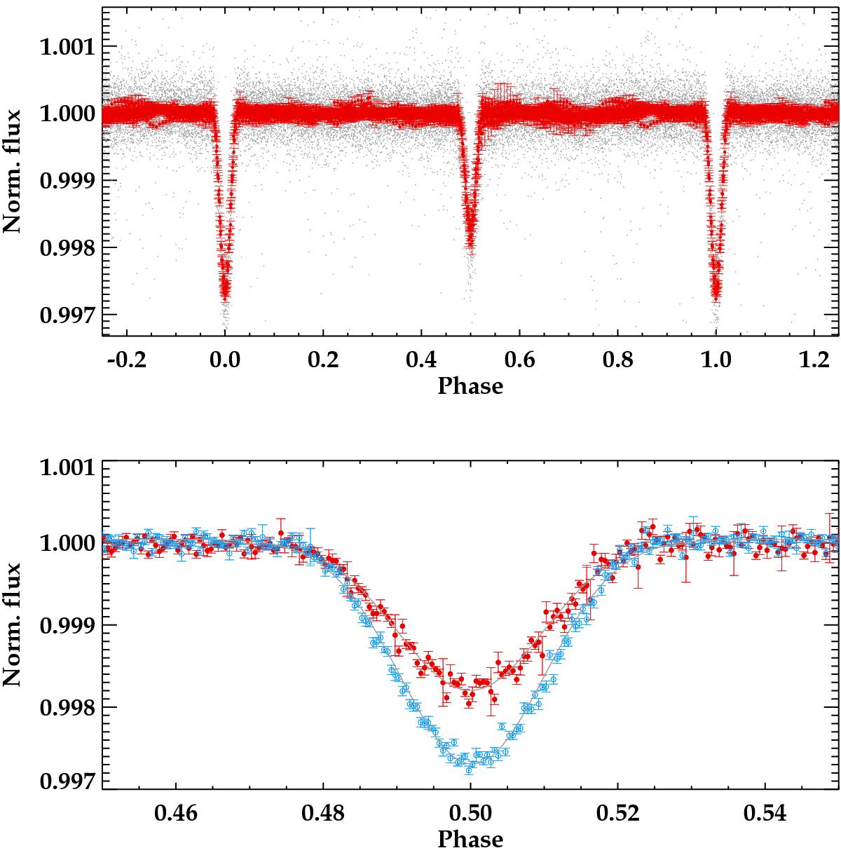
Fig. 5

Detrended Kepler light curve of KOI-3725 and phase-folded by using the new calculated period (i.e., Porb = 3.1409940 ± 0.0000008 days), twice the one published by the Kepler team. The unequal depth of odd/even transits is clear evidence of the binary nature of this object. Upper panel shows the entire phase of the system. Lower panel shows a zoom to the odd and even transits (in different colors and symbols). The primary transit has been shifted to φ = 0.5 for comparison purposes. The transit model is shown as solid gray lines.
Current usage metrics show cumulative count of Article Views (full-text article views including HTML views, PDF and ePub downloads, according to the available data) and Abstracts Views on Vision4Press platform.
Data correspond to usage on the plateform after 2015. The current usage metrics is available 48-96 hours after online publication and is updated daily on week days.
Initial download of the metrics may take a while.