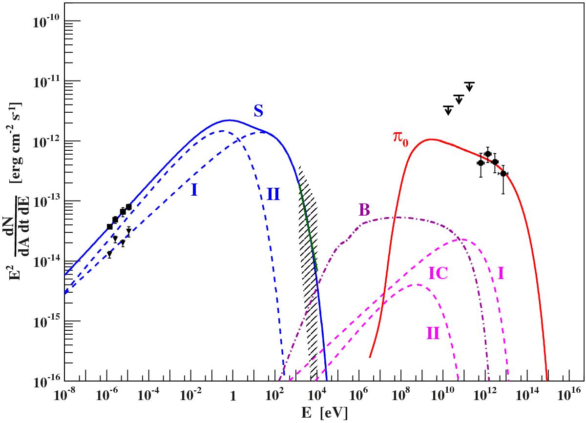
Fig. 8

Spectral energy distribution of the SNR G15.4+0.1. The filled squares and triangles with error bars correspond to the emission from the whole remnant and from the interior of the shell (Region I), respectively (data from Brogan et al. 2006, and this work). The shadowed region encompassing a solid line corresponds to the fitted power law and the one sigma region of the X-ray data. The HESS TeV data points are indicated by filled circles (Abramowski et al. 2014), while the arrows pointing downwards show the upper limits in the Fermi-LAT spectrum (Acero et al. 2013). The dashed lines labelled I and II mark the spectra from Region I, assuming non-thermal X-ray and radio emission originating in the interior of G15.4+0.1, and from Region II in the shell of the remnant, respectively. The modelled spectra from the synchrotron radiation by electrons, inverse Compton on the CMB, Bremsstrahlung, and γ rays produced by neutral pions generated in proton-proton interactions are indicated by the curves labelled S, IC, B, and π0, respectively.
Current usage metrics show cumulative count of Article Views (full-text article views including HTML views, PDF and ePub downloads, according to the available data) and Abstracts Views on Vision4Press platform.
Data correspond to usage on the plateform after 2015. The current usage metrics is available 48-96 hours after online publication and is updated daily on week days.
Initial download of the metrics may take a while.