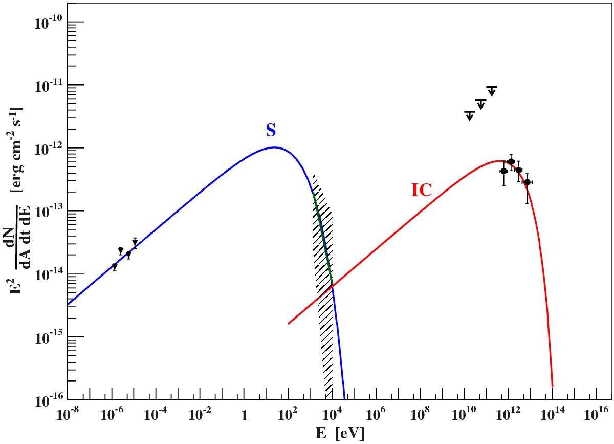
Fig. 9

Broadband fit to radio (filled triangles) and γ-ray observations obtained with HESS (filled circles). Upper limits to the flux densities from Fermi-LAT (arrows pointing downwards) and the best fit to the X-ray data (green hatching) are also included. The radio data correspond to the internal region of SNR G15.4+0.1. The curves labelled S and IC show the model of the synchrotron radiation and inverse Compton mechanism on the CMB by accelerated electron, respectively.
Current usage metrics show cumulative count of Article Views (full-text article views including HTML views, PDF and ePub downloads, according to the available data) and Abstracts Views on Vision4Press platform.
Data correspond to usage on the plateform after 2015. The current usage metrics is available 48-96 hours after online publication and is updated daily on week days.
Initial download of the metrics may take a while.