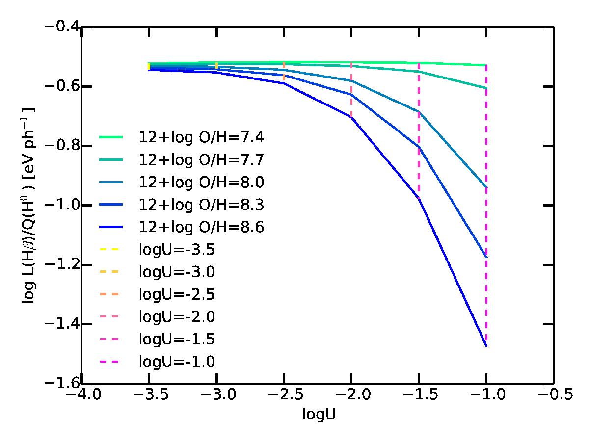
Fig. B.2

Values of L(Hβ) /Q(H0) as a function of as computed in ionization-bounded photoionization models with different metallicities. The ionizing radiation field is from PopStar at an age of 1 Myr. Continuous lines join models of same metallicity, while dashed lines join models with same ionization parameter. The color code is given in the plot. This diagram shows how the absorption of the ionizing radiation by dust grains affects the Hβ luminosity depending on the dust abundance (which is linked to the metallicity, see Sect. 4.1) and on the ionization parameter.
Current usage metrics show cumulative count of Article Views (full-text article views including HTML views, PDF and ePub downloads, according to the available data) and Abstracts Views on Vision4Press platform.
Data correspond to usage on the plateform after 2015. The current usage metrics is available 48-96 hours after online publication and is updated daily on week days.
Initial download of the metrics may take a while.