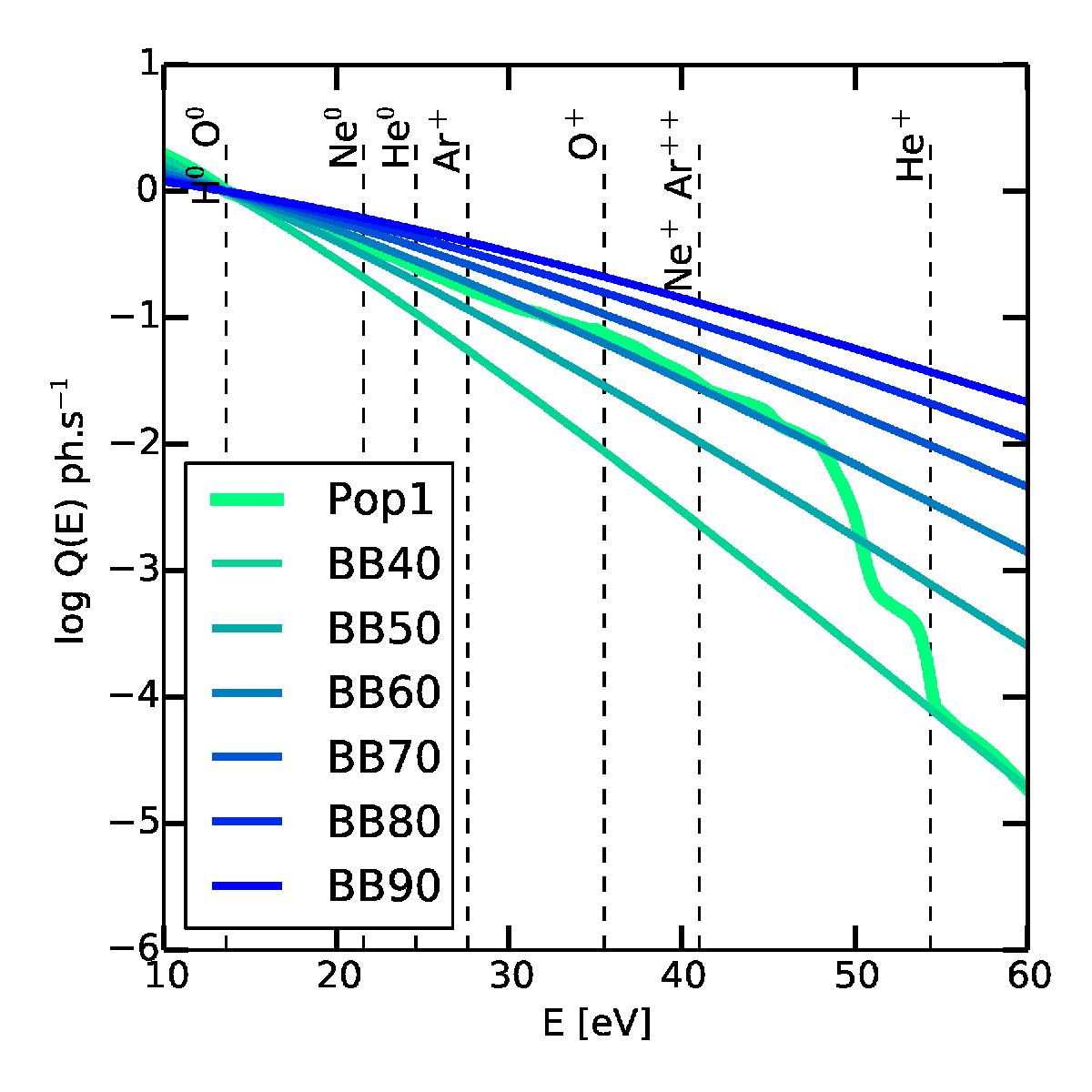
Fig. C.1

Log of Q(E), the number of photons emitted above the energy threshold E as a function of E, for different spectral energy distributions (SEDs). The ionization thresholds of important ions are indicated by the vertical dashed lines. The different curves correspond to blackbodies at different temperatures, as indicated in the inset. The PopStar model at an age of 1 Myr of Fig. C.4 is shown for comparison.
Current usage metrics show cumulative count of Article Views (full-text article views including HTML views, PDF and ePub downloads, according to the available data) and Abstracts Views on Vision4Press platform.
Data correspond to usage on the plateform after 2015. The current usage metrics is available 48-96 hours after online publication and is updated daily on week days.
Initial download of the metrics may take a while.