Free Access

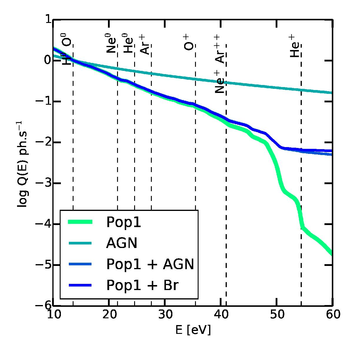
Fig. C.5

image

Same as Fig. C.4 for SEDs corresponding to AGN spectral energy distribution, combined PopStar at an age of 1 Myr and AGN (Sect. 5.5), and combined PopStar at an age of 1 Myr and bremsstrahlung (Sect. 5.3). The pure PopStar model at an age of 1 Myr of Fig. C.4 is shown for comparison.

Current usage metrics show cumulative count of Article Views (full-text article views including HTML views, PDF and ePub downloads, according to the available data) and Abstracts Views on Vision4Press platform.

Data correspond to usage on the plateform after 2015. The current usage metrics is available 48-96 hours after online publication and is updated daily on week days.

Initial download of the metrics may take a while.