Free Access
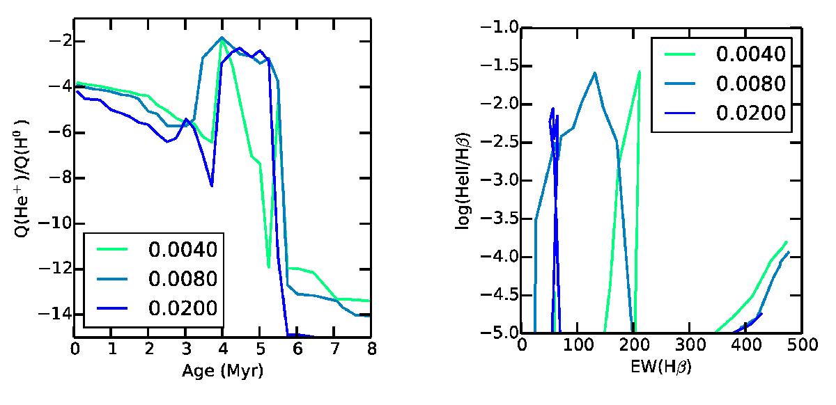
Fig. 8

Left: Q(He+) /Q(H0) as a function of age for PopStar SEDs with metallicities Z = 0.004, 0.008, and 0.02 as indicated in the inset. Right: log He ii/Hβ versus EW(Hβ), where He ii/Hβ is taken equal to 1.74Q(He+) /Q(H0), for the same PopStar models.
This figure is made of several images, please see below:
Current usage metrics show cumulative count of Article Views (full-text article views including HTML views, PDF and ePub downloads, according to the available data) and Abstracts Views on Vision4Press platform.
Data correspond to usage on the plateform after 2015. The current usage metrics is available 48-96 hours after online publication and is updated daily on week days.
Initial download of the metrics may take a while.