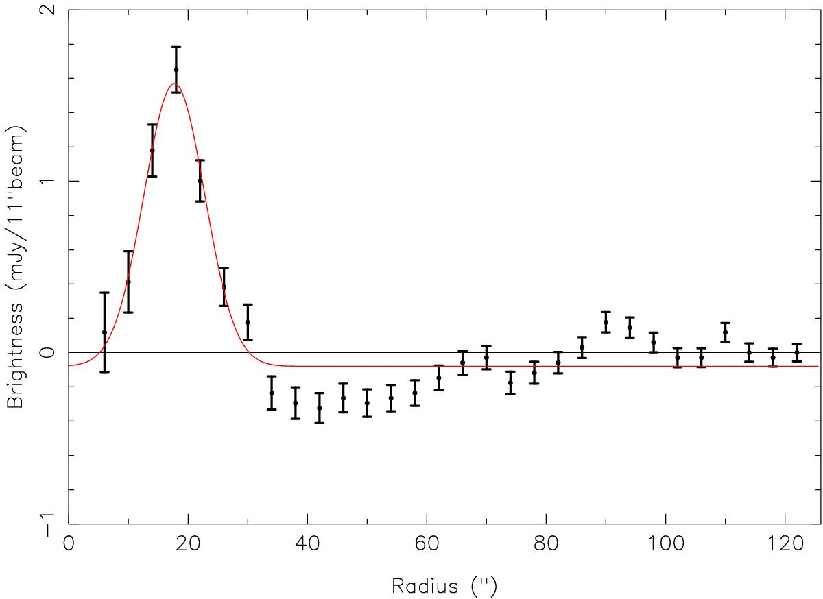
Fig. 6

Radial profile of the dust emission around ϵ Eridani computed from the photosphere-subtracted MAMBO image. Points are independent and represent the mean brightness calculated over 4′′ wide, elliptical annuli of increasing semi-major axis (structure is inclined by 25° relative to the plane of the sky along the north-south direction (PA = 0°)). The uncertainty of each brightness point is the noise rms of the map divided by the square root of the number of pixels in each annulus. The Gaussian in red is based on the four-parameter fit described in Sect. 5.
Current usage metrics show cumulative count of Article Views (full-text article views including HTML views, PDF and ePub downloads, according to the available data) and Abstracts Views on Vision4Press platform.
Data correspond to usage on the plateform after 2015. The current usage metrics is available 48-96 hours after online publication and is updated daily on week days.
Initial download of the metrics may take a while.