Fig. 15

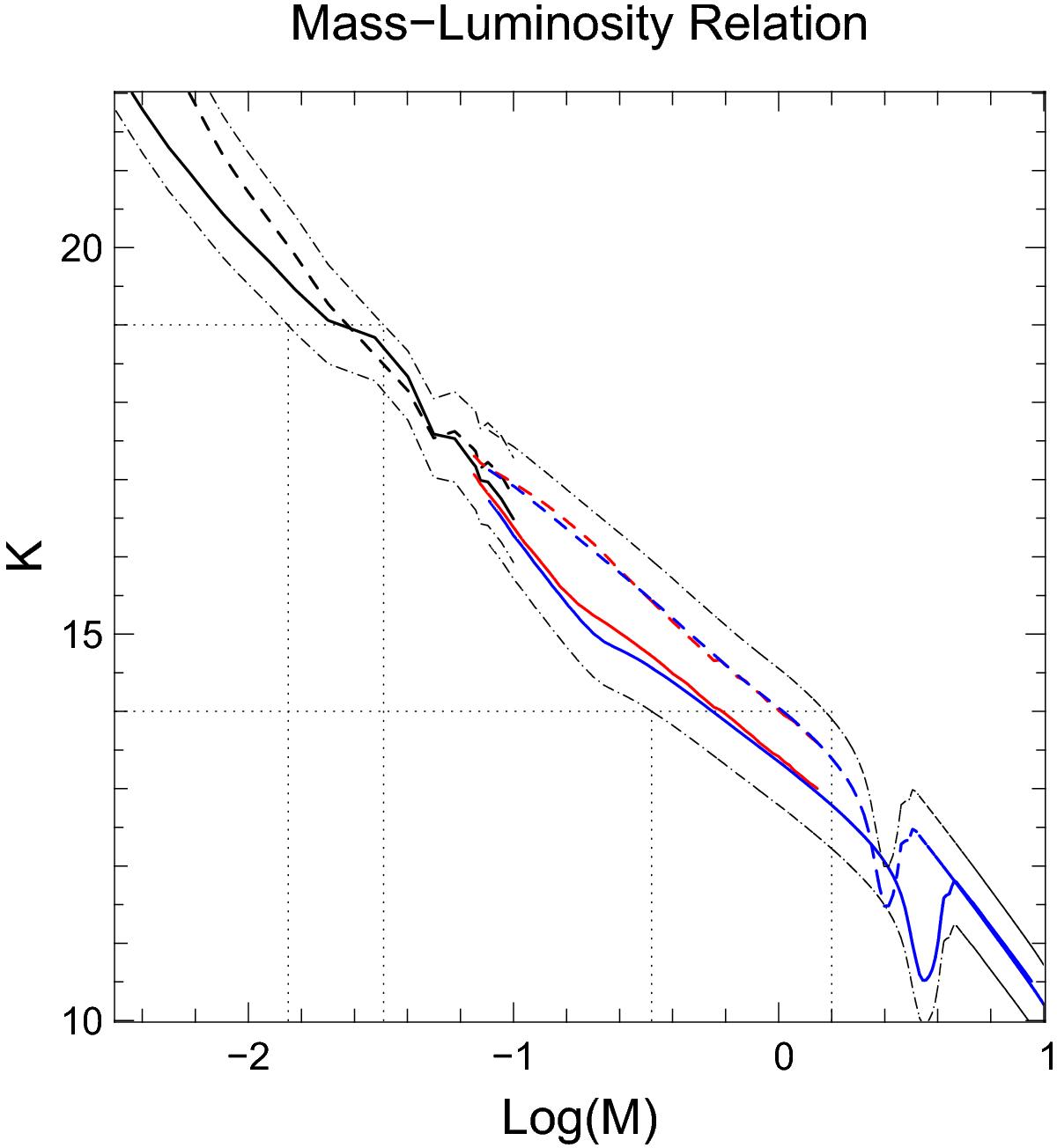
Mass luminosity relation. Black lines indicate the Baraffe 03 model, red the Baraffe 98, and blue Tognelli 11. Full lines denote an age of 1 Myr, and dashed lines denote an age of 2.5 Myr. Dash-dotted lines are for when uncertainties on the distance (±0.2 kpc) and on the extinction (±0.2 mag) are summed in quadrature. The dotted lines show, for a given observed magnitude, the expected errors in mass. Those errors are used in the IMF Fig. 16.
Current usage metrics show cumulative count of Article Views (full-text article views including HTML views, PDF and ePub downloads, according to the available data) and Abstracts Views on Vision4Press platform.
Data correspond to usage on the plateform after 2015. The current usage metrics is available 48-96 hours after online publication and is updated daily on week days.
Initial download of the metrics may take a while.