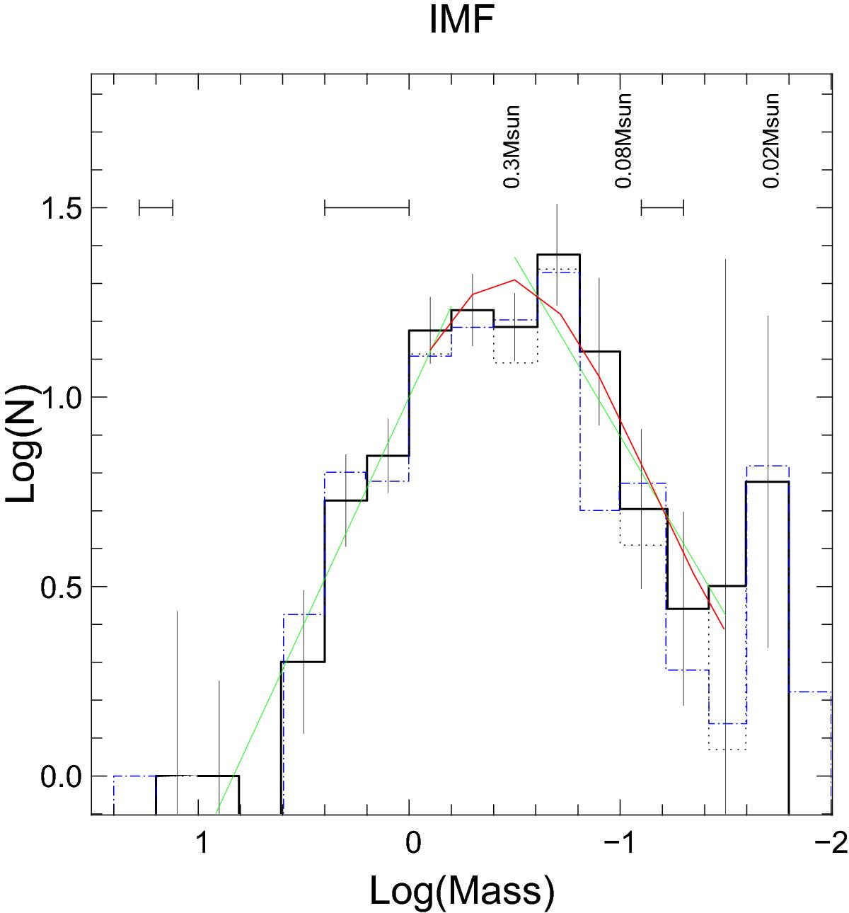
Fig. 16

IMF derived from the KLF (black solid line). The dotted line shows the IMF derived when NIR excess sources are removed from the sample. The blue dot-dashed line shows the IMF derived from the H-band LF. Errors in Log(Mass) are shown as horizontal lines, and they are estimated based in Fig. 15. Vertical lines show the counting statistics error for the black histogram. The slope of the IMF’s first part, fitting from the black-full line histogram, gives Γ = −1.25 ± 0.2, and is shown in green. The slope of the second part is Γ = + 0.95 ± 0.2, if we remove the peak at 0.02 M⊙ from the fit, and is also shown in green. Chabrier et al. (2003) log-normal like distributions (red full line) gives a critical mass mc = 0.35 ± 0.1M⊙ and σ = 0.45 ± 0.1M⊙. The total mass, when integrating over all the bins, is 78 ± 18M⊙.
Current usage metrics show cumulative count of Article Views (full-text article views including HTML views, PDF and ePub downloads, according to the available data) and Abstracts Views on Vision4Press platform.
Data correspond to usage on the plateform after 2015. The current usage metrics is available 48-96 hours after online publication and is updated daily on week days.
Initial download of the metrics may take a while.