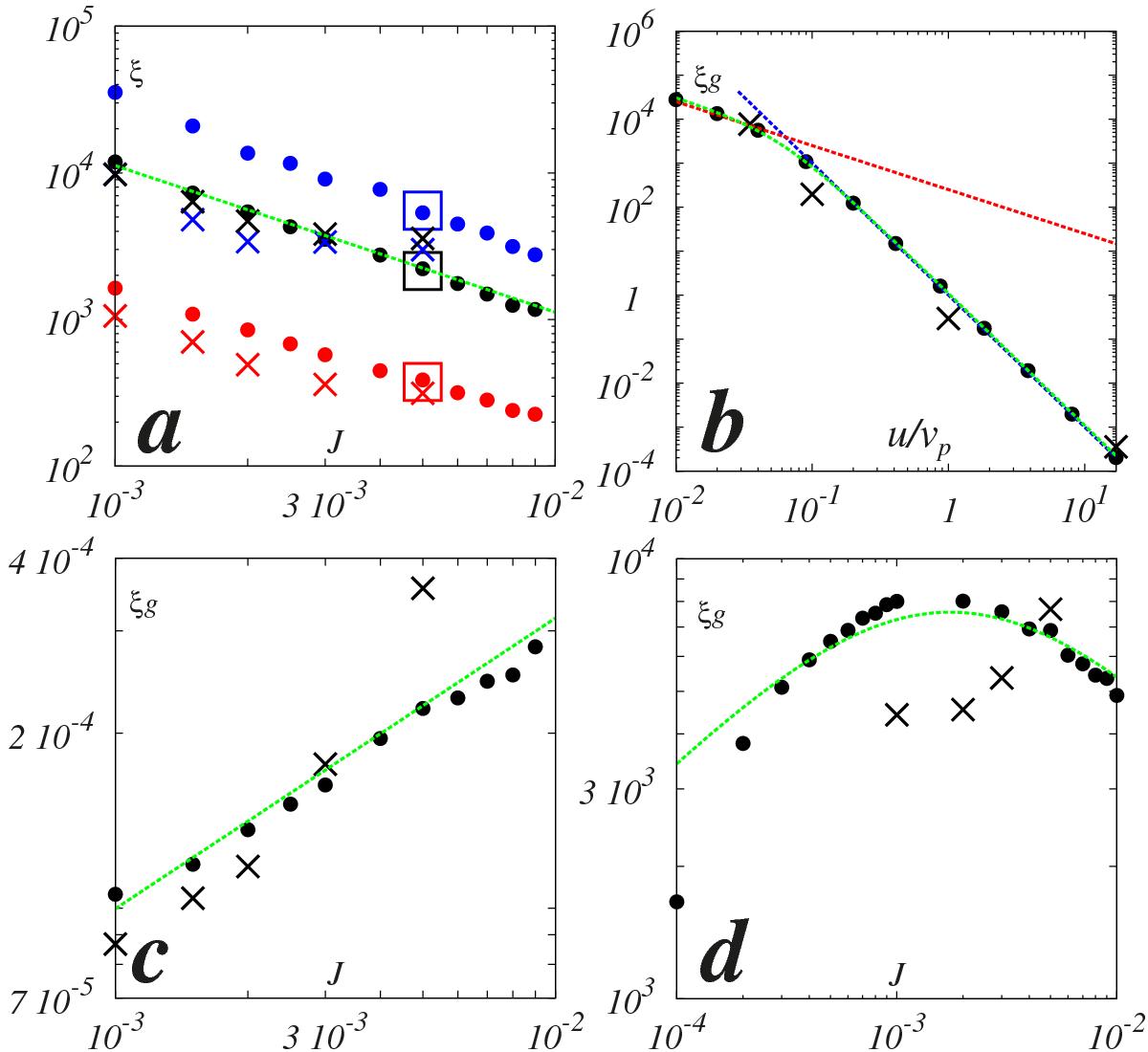
Fig. 6

Dependence of the DMP density enhancement factor ζ = ρv(ri) /ρgJ on J at u/vp = 17 (Jupiter); here ρgJ is the galactic DMP volume density for an energy range of 0 < |w| <J and ri = 0.2rp,rp,6 rp (blue, black, red); points and squares show results for map (2) with the number of injected particles NJ = 4 × 109 and 4 × 1011, respectively; crosses show data for map (1) with NJ = 4 × 109 and J = 5mp/M. b) Dependence of the galactic enhancement factor ζg = ρv(ri) /ρg on u/vp at rζ = rp and J = 0.005 in (2) (points) and mp/M = 0.001 in (1) (crosses), here ρg is the global galactic density; lines show dependencies ζg ∝ 1 /u (red) and ζg ∝ 1 /u3 (blue). c) Dependence of ζg on J at u/vp = 17; d) the same at u/vp = 0.035, parameters of symbols are as in a), b). The green curve shows theory (3) in all panels.
Current usage metrics show cumulative count of Article Views (full-text article views including HTML views, PDF and ePub downloads, according to the available data) and Abstracts Views on Vision4Press platform.
Data correspond to usage on the plateform after 2015. The current usage metrics is available 48-96 hours after online publication and is updated daily on week days.
Initial download of the metrics may take a while.