Free Access
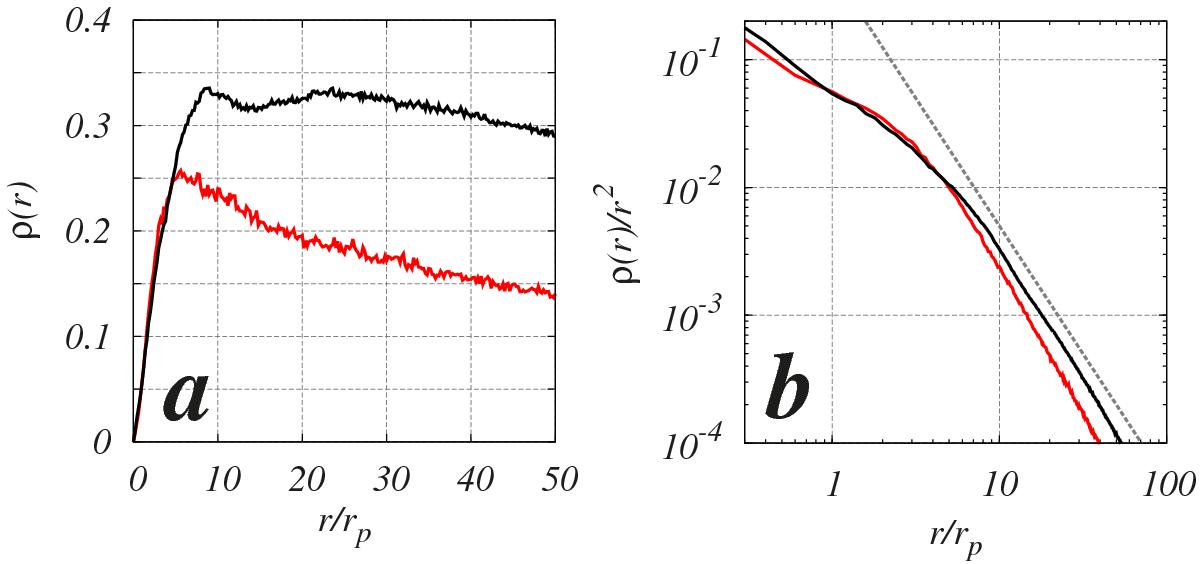
Fig. 9

a) Radial density ρ(r) ∝ dN/ dr for the Kepler models of SS (red curve) and SMBH binary (black curve) at tS/Tp ≈ 4 × 108; the normalization is fixed as , rp = 1 for the fifth body. b) Volume density ρv = ρ/r2 from the data of a), the dashed line shows the slope −2 (see text for details).
Current usage metrics show cumulative count of Article Views (full-text article views including HTML views, PDF and ePub downloads, according to the available data) and Abstracts Views on Vision4Press platform.
Data correspond to usage on the plateform after 2015. The current usage metrics is available 48-96 hours after online publication and is updated daily on week days.
Initial download of the metrics may take a while.