Free Access
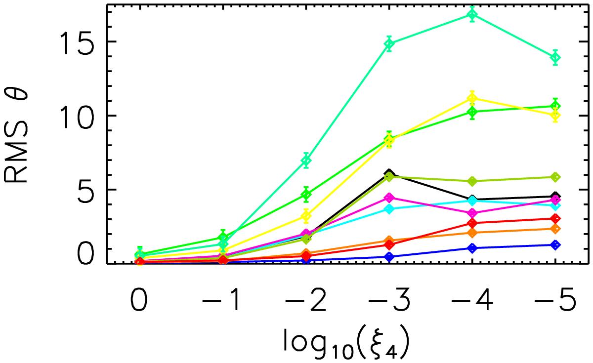
Fig. 11

Dependence of the root mean square of the angles θ between the loop tangent and the local field direction along each of the ten consistent loops on ξ4. For each loop, a different color code has been used.
Current usage metrics show cumulative count of Article Views (full-text article views including HTML views, PDF and ePub downloads, according to the available data) and Abstracts Views on Vision4Press platform.
Data correspond to usage on the plateform after 2015. The current usage metrics is available 48-96 hours after online publication and is updated daily on week days.
Initial download of the metrics may take a while.