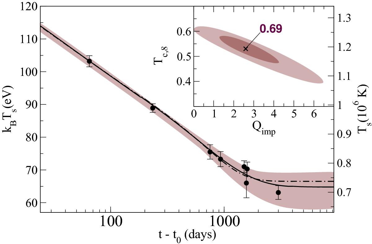
Fig. 10

Cooling curves for KS 1731−260 using a deep gap: the light (dark) brown zones correspond to χ2< 2( < 1), the solid curve is the best fit (χ2 = 0.69) with Tb,8 = 3.55. The dotted-dashed curve corresponds to the best fit (χ2 = 1.14) with the Sch03 gap and Tb,8 = 3.52. In all cases, M = 1.6 M⊙, Ṁ18 = 0.05, and Qimp ≃ 4 are fixed.
Current usage metrics show cumulative count of Article Views (full-text article views including HTML views, PDF and ePub downloads, according to the available data) and Abstracts Views on Vision4Press platform.
Data correspond to usage on the plateform after 2015. The current usage metrics is available 48-96 hours after online publication and is updated daily on week days.
Initial download of the metrics may take a while.